五一 考试一
~~~~下午考了个试,疯狂爆零~~~~


PS:
如果一棵二叉树的结点要么是叶子结点,要么它有两个子结点,这样的树就是满二叉树。
若设二叉树的深度为h,除第 h 层外,其它各层 (1~h-1) 的结点数都达到最大个数,第 h 层所有的结点都连续集中在最左边,这就是完全二叉树。
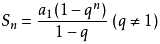
等比数列通项公式、求和公式


then,看题
x的祖先是 a ,a可以有很多,从x到1路径上的所有点都是它的祖先

对于两个点x,y,位置不同,向上跳到父节点,直到相遇,第一个相遇的点就是lca
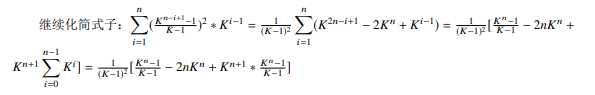
题目计算的是任意两个点 LCA 的深度,这个数量等于,任意两个点公共的祖先共有多少个。
显然成立

任意两个点x,y的公共祖先是a的话,等价于x,y都在a的子树里,也就是相当于a是点对(x,y)的公共祖先,全部寻找完之后,会发现还有其他的点对的公共祖先是a,也就是a还是其他点对的公共祖先,问题就转化为枚举每个节点a,看它是多少个点对的公共祖先
比如我们枚举x,y,有多少个公共祖先a

换一下枚举顺序就是

注意到没有必要将所有点对的 LCA 都计算出来,因为对于同一层的两个节点lca是相同的,每一层只需要算一个节点就行
考虑计算第 i 层的某个节点,是多少个点对的公共祖先,这个数量就是该节点子树内节点数的平方。

(等比数列求和)

是每个a的点对的个数,
是第i层有多少个点

#include <bits/stdc++.h>
using namespace std;
const int mod = 998244353;
typedef long long LL;
int fpm(int p, int k)
{
int res = 1;
for (p %= mod; k; k >>= 1, p = (LL) p * p % mod)
if (k & 1) res = (LL) res * p % mod;
return res;
}
int main()
{
// freopen("lca.in", "r", stdin);
// freopen("lca.out", "w", stdout);
int n, K; cin >> n >> K;
int e = fpm(K - 1, mod - 2); //(K - 1) ^ (-1)
int x = (fpm(K, n) - 1) * (LL) e % mod; //(K ^ n - 1) / (K - 1)
int ans = (fpm(K, n + 1) + 1) * (LL) x % mod;
ans = (ans - 2 * n * (LL) fpm(K, n)) % mod;
ans = ans * (LL) e % mod * (LL) e % mod;
cout << (ans < 0 ? ans + mod : ans);
}



两个序列比较:

四个就是多了两维


t 中不同的回文子序列最多只有 2 m 个。(选或者不选)
问题转化为:怎么判断一个回文串 q 是不是 s 的子序列。
构造自动机:记 next[i][c] 表示 s[i + 1..n] 中 c 第一次最早出现的下标。
只需要沿着 next 走,就 能判断 s 是否包含 q 这个子序列。
理论时间复杂度 O(m2m + 26n),实际远远达不到这个复杂度


构造自动机:

#include <bits/stdc++.h>
using namespace std;
typedef long long LL;
const int maxn = 100005;
int n, m, nex[maxn][26], ans;
char a[maxn], b[maxn], c[maxn];
bool pal(int l)
{
for (int i = 1, j = l; i < j ; i++, j--)
if (c[i] != c[j]) return false;
return true;
}
void solve(int stp, int l, int cur)
{
if (l + m - stp + 1 <= ans) return ;
if (stp > m) {if (pal(l)) ans = l; return ;}
solve(stp + 1, l, cur);
if (int t = nex[cur][b[stp] - ‘a‘])
c[l + 1] = b[stp], solve(stp + 1, l + 1, t);
}
int main()
{
// freopen("lcscl.in", "r", stdin);
// freopen("lcscl.out", "w", stdout);
scanf("%s", a + 1); n = strlen(a + 1);
scanf("%s", b + 1); m = strlen(b + 1);
for (int i = n - 1; i >= 0; i--)
{
for (int j = 0; j < 26 ; j++)
nex[i][j] = nex[i + 1][j];
nex[i][a[i + 1] - ‘a‘] = i + 1;
}
solve(1, 0, 0); printf("%d", ans);
return 0;
}



当a,b > 100
a+5 , b-13更优
a,b,>0 b>=13
a+5 , b-13更优
b=7就不一定, 因为考虑到绝对值
复杂度O(30 n)
#include <bits/stdc++.h>
using namespace std;
typedef long long LL;
const int maxn = 100005;
const LL inf = 1ll << 50;
int n; LL a[maxn], b[maxn], now = 0, ans = 0;
LL xabs(LL x) {return x < 0 ? -x : x;}
LL calc(LL t) {
LL res = inf;
for (LL a = -4; a <= 4; a++)
if ((t - a * 13) % 5 == 0) res = min(res, xabs(a) + xabs((t - a * 13) / 5));
for (LL b = -12; b <= 12; b++)
if ((t - b * 5) % 13 == 0) res = min(res, xabs(b) + xabs((t - b * 5) / 13));
return res;
}
int main()
{
// freopen("cards.in", "r", stdin);
// freopen("cards.out", "w", stdout);
scanf("%d", &n);
for (int i = 1; i <= n; i++) scanf("%lld", &a[i]);
for (int i = 1; i <= n; i++) scanf("%lld", &b[i]);
for (int i = 1; i <= n; i++)
now += a[i] - b[i], ans += calc(now);
printf("%lld", ans);
}
原文:https://www.cnblogs.com/xiaoyezi-wink/p/10812177.html