toLeftTest是判断一个点是否在有向直线左侧的算法。

当点s位于向量pq左侧时,toLeftTest返回true。当点s位于向量pq右侧时,toLeftTest返回false。
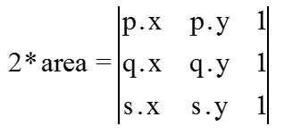
具体的算法可以根据三角形的有符号面积来计算

对应上图中的 2倍三角形面积area 的公式为

当pqs的方向为逆时针时,面积area为正;当pqs的方向为顺时针时,面积area为负值。当area为0时,说明点s在直线pq上
下面的算法有效避免了除法的出现,减少了计算误差。
1 bool toLeftTest(Point p, Point q, Point s){ 2 return area2(p,q,s) > 0; 3 } 4 5 int area2(Point p, Point q, Point s){ 6 return 7 p.x * q.y - p.y * q.x 8 + q.x * s.y - q.y * s.x 9 + s.x * p.y - s.y * p.x; 10 }
应用:
- 需要考察角度的最大最小值时
InTriangleTest用于判断一个点是否在给点的三角形内。
三角形的三条边所在直线将平面分成了7份,无论三角形三个顶点是逆时针还是顺时针的,位于三角形内的点对三边向量所做的toLeftTest结果都相同。
方法一:利用toLeftTest
1 bool inTriangleTest(Point r, Point p, Point q, Point s){ 2 int a = toLeftTest(p,q,r); 3 int b = toLeftTest(q,s,r); 4 int c = toLeftTest(s,p,r); 5 return ( a == b && b == c); 6 }
给定一个逆时针的凸包,在平面上随意取一个点P。对于凸包上的点Q,以PQ为向量,对Q先前邻接的点Q-1和之后邻接的点Q+1做 toLeftTest测试。

对于凸包上任意的点Q,Q先前邻接的点Q-1和之后邻接的点Q+1的 toLeftTest 结果分别为false和true,记为 FT。

通过P可以在凸包上找到两个点T和S,向量PS和PT会与凸包相切。
2.1 点T和点S的前驱和后继点(T-1和T+1,S-1和S+1)的toLeftTest结果均为两个相同的值,要么都为true,要么都为false。记为 TT 和 FF。
2.2 凸包TS之间的点(TS具有方向性),其前驱和后继的toLeftTest测试结果为true,false。 记为 TF。
2.3 凸包ST之间的点(ST具有方向性),其前驱和后继的toLeftTest测试结果为false,true。 记为 FT。
inConvexPolygonTest是用来判断一个点是否在一个凸包多边形的内部。下面的算法要求输入的凸包点集是逆时针的。过程可看下图

算法的过程是需要将 inConvexPolygonTest 最终转化为 inTriangleTest。取凸包的第一个点作为InTriangleTest的三角形的一个点,通过二分找到中间点,然后通过不断的inLeftTest和二分, 从而找到将判断点夹在中间的三角形,最后进行inTriangleTest,用inTriangleTest的结果作为inConvexPolygonTest的结果。
以上面的图作为inConvexPolygonTest算法的过程例子
- 取凸包的第一个点A和中间的点D。
- 用向量AD对点s进行toLeftTest。 toLeftTest(A,D,s)
- 上一步toLeftTest结果为false, 所以对右侧的点进行二分找到点B。
- 用向量AB对点s进行toLeftTest。 toLeftTest(A,B,s)
- 上一步toLeftTest结果为true, 所以对左侧的点进行二分找到点C。
- 用向量AC对点s进行toLeftTest。 toLeftTest(A,C,s)
- 由于toLeftTest(A,C,s)返回true,且D邻接在点C的左侧,所以确定进行inTriangleTest的为三角形 ACD。
- 用三角形ACD对点s进行inTriangleTest,返回true,所以点s在凸包内。

算法步骤为
- 找到 lowest then leftmost的点A(在笛卡尔坐标系中,y值最小的点。如果y值相同,则要求x值最小。)
- 以点A建立极角坐标系,对剩余的点以极角的大小进行从小到大排序,找出极角最小的点B。
- 建立堆栈S,将点A压栈,将点B压栈。
- 遍历剩余的点,记正在遍历的点为P。以堆栈S的次栈顶的点Q(最开始时为A点),栈顶的点R(最开始时为点B),和点P进行toLeftTest测试。
4.1 如果toLeftTest测试结果为true,将点T压进堆栈S。
4.2 如果toLeftTest测试结果为false
4.2.1 如果堆栈S中的点的个数小于等于3,不做任何事情。
4.2.2 如果堆栈S中点的个数大于3,将堆栈S中的栈顶的点推出(pop),然后返回到步骤4继续做toLeftTest测试。- 直到遍历完所有的点。
算法结束后,堆栈S中从栈底到栈顶的点集及为凸包逆时针方向的点集。
线段集的求交是给定 线段的集合作为输入 求出这些 线段中的所有可能交点
一种与输出的交点数敏感的算法是平面扫描算法。以一条扫描线扫过所有的线段集,以线段集中的所有起点、终点、和将来求出的交点作为所有事件点,当扫描线经过事件点时,则需要对与扫描线相交的线段中的部分线段进行相交检测,判断从而判断是否存在交点。
学堂在线 清华大学 邓俊辉的 计算几何 课程+https://www.cnblogs.com/smallpi/p/7257762.html
原文:https://www.cnblogs.com/wind-chaser/p/10889537.html