1、简单介绍
线性回归模型为
,其中w1和w2为对应特征x1、x2的权重,b为偏差。
用神经网络图表现线性回归模型如下,图中未展示权重和偏差:

输入层为x1、x2,输入层个数为2,在神经网络中输入层个数即为特征数。输出为o,输出层个数为1.,即为线性回归模型中的输出。由于输入层不参与计算,计算层仅有输出层一层,故神经网络层数为1,即线性回归是一个单层神经网络。神经网络中负责计算的单元叫神经元,在该模型中o即为神经元。在线性回归中,o的输出依赖于x1、x2,即输出层中的神经元和输入层中各个输入完全连接,故,此处输出层又叫全连接层。
2、线性回归的实现
(1)一些概念
(1.1)np.random.normal(size,loc,scale)
loc:此概率分布的均值(对应着整个分布的中心centre),不写默认为0
scale:此概率分布的标准差(对应于分布的宽度,scale越大越矮胖,scale越小,越瘦高),方差=标准差的平方
size:输出的shape,默认为None,只输出一个值
(1.2)矩阵乘法
X*XT表示如下
nd.dot(X, X.T)
(1.3)自动求梯度
函数:y = 2xTX求列向量x的梯度
(a)求变量x的梯度,需要先调用attach_grad函数来申请存储梯度所需要的内存
x.attach_grad()
(b)mxnet需要调用record函数来记录与梯度有关的计算
with autograd.record():
y = 2 * nd.dot(x.T, x)
(c)调用backward函数自动求梯度,如果y不是一个标量,mxnet将会先对y中元素求和得到新的变量,再求该变量有关x的梯度
y.backward()
(d)获取变量x的梯度结果
x.grad
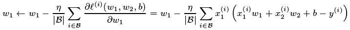
(1.4)小批量随机梯度下降迭代模型参数
线性回归中模型参数迭代过程如下:

w1是迭代的参数,η是学习率取正数,
是小批量中的样本个数
(2)实现过程
(2.1)生成数据集
构造一个训练数据集,样本数为1000,特征数为2。随机批量生成样本1000*2,使用线性回归模型真实权重W=[2,-3.4]T和偏差b=4.2,以及一个随机噪声e来生成标签,数据之间的关系为y=XW+b+e,其中噪声e服从均值为0,标准差为0.01的正态分布。
from IPython import display from matplotlib import pyplot as plt from mxnet import autograd,nd import random num_inputs = 2 num_examples = 1000 true_w = [2,-3.4] true_b = 4.2 features = nd.random.normal(scale=1,shape=(num_examples,num_inputs)) labels = true_w[0]*features[:,0]+true_w[1]*features[:,1]+true_b labels += nd.random.normal(scale=0.01,shape=labels.shape)
(2.2)生成小批量
在多次迭代模型参数时,每次迭代中,根据当前读取的小批量数据样本,通过调用反向函数backward计算小批量随机梯度,并调用优化算法sgd迭代模型参数。小批量函数每次返回一个batch_size大小的随机样本及标签
# 读取小批量,每次返回一个batch_size大小的随机样本及其标签 def data_iter(batch_size, features, labels): num_examples = len(features) indices = list(range(num_examples)) random.shuffle(indices)#样本读取顺序随机 for i in range(0, num_examples, batch_size): j = nd.array(indices[i:min(i + batch_size, num_examples)]) yield features.take(j),labels.take(j)
(2.3)线性回归矢量计算
矢量计算公式y=X*w+b,dot函数可以用来做矩阵乘法
# 线性回归矢量计算表达式,用dot函数做矩阵乘法 def linreg(X, w, b): return nd.dot(X,w) + b
(2.4)定义损失函数
线性回归采用平方损失函数来计算损失,输入为值为模型预测出来的标签和真实标签,在计算过程中其中两个标签的形状不一样,需要进行转换
# 定义损失函数 # 将真实值y变成预测值y_hat的形状,以便进行平方损失的计算 def squared_loss(y_hat,y): return (y_hat - y.reshape(y_hat.shape)) ** 2 / 2
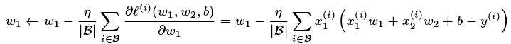
(2.5)迭代模型参数,优化损失函数
params是传入的需要迭代的参数,此处为w和b,lr为学习率此处自定义为0.03,batch_size为自定义小批量样本大小,采用迭代公式为下图

此处,对于一个迭代周期中,小批量样本迭代选择参数过程中,直接取的一个迭代周期中最后一个小批量对应的参数
def sgd(params, lr, batch_size): for param in params: param[:] = param - lr * param.grad / batch_size
(2.6)完整代码
部分说明:在每一个迭代周期中,将会完整遍历一遍所有数据,迭代小批量求出最佳模型参数,然后根据最佳参数得出训练数据集的损失值
from matplotlib import pyplot as plt from mxnet import autograd, nd import random from IPython import display import d2lzh as dlz num_inputs = 2 # 指定输入特征个数 num_examples = 1000 true_w = [2, -3.4] true_b = 4.2 features = nd.random.normal(scale=1, shape=(num_examples, num_inputs)) labels = true_w[0] * features[:, 0] + true_w[1] * features[:, 1] + true_b labels += nd.random.normal(scale=0.01, shape=labels.shape) # 权重初始化为均值为0,标准差为0.01的正态随机数,偏差初始化为0 w = nd.random.normal(scale=0.01, shape=(num_inputs, 1)) b = nd.zeros(shape=(1,)) # 在模型训练中迭代w和b,因此要创建它们的梯度 w.attach_grad() b.attach_grad() # 在每次迭代中 lr = 0.03 num_epochs = 3 net = dlz.linreg batch_size = 10 # 迭代周期 for epoch in range(num_epochs): # 在每个迭代周期中会使用训练数据集中所有的样本 # 小批量迭代寻找每次迭代周期中最佳参数 for X, y in dlz.data_iter(batch_size, features, labels): with autograd.record(): l = dlz.squared_loss(net(X, w, b), y) # l是有关小批量X和y的损失 l.backward() # 小批量的损失对模型参数求梯度 dlz.sgd([w, b], lr, batch_size) # 使用小批量随机梯度下降迭代模型参数 train_l = dlz.squared_loss(net(features, w, b), labels) print(‘epoch %d, loss %f‘ % (epoch + 1, train_l.mean().asnumpy())) ‘‘‘ 输出结果: epoch 1, loss 0.035021 epoch 2, loss 0.000126 epoch 3, loss 0.000048 ‘‘‘
原文:https://www.cnblogs.com/slfh/p/10848463.html