注:
文章中所有的图片均来自台湾大学林轩田《机器学习技法》课程。
笔记原作者:红色石头
微信公众号:AI有道
上节课主要介绍了线性支持向量机(Linear Support Vector Machine)。Linear SVM的目标是找出最“胖”的分割线进行正负类的分离,方法是使用二次规划来求出分类线。本节课将从另一个方面入手,研究对偶支持向量机(Dual Support Vector Machine),尝试从新的角度计算得出分类线,推广SVM的应用范围。
首先,我们回顾一下,对于非线性SVM,我们通常可以使用非线性变换将变量从\(x\)域转换到\(z\)域中。然后,在\(z\)域中,根据上一节课的内容,使用线性SVM解决问题即可。上一节课我们说过,使用SVM得到large-margin,减少了有效的VC Dimension,限制了模型复杂度;另一方面,使用特征转换,目的是让模型更复杂,减小\(E_{in}\)。所以说,非线性SVM是把这两者目的结合起来,平衡这两者的关系。那么,特征转换下,求解QP问题在\(z\)域中的维度设为\(\hat{d}+1\),如果模型越复杂,则\(\hat{d} +1\)越大,相应求解这个QP问题也变得很困难。当\(\hat{d}\)无限大的时候,问题将会变得难以求解,那么有没有什么办法可以解决这个问题呢?一种方法就是使SVM的求解过程不依赖\(\hat{d}\),这就是我们本节课所要讨论的主要内容。

比较一下,我们上一节课所讲的Original SVM二次规划问题的变量个数是\(\hat{d} +1\),有\(N\)个限制条件;而本节课,我们把问题转化为对偶问题(’Equivalent’ SVM),同样是二次规划,只不过变量个数变成\(N\)个,有\(N+1\)个限制条件。这种对偶SVM的好处就是问题只跟\(N\)有关,与\(\hat{d}\)无关,这样就不存在上文提到的当\(\hat{d}\)无限大时难以求解的情况。

如何把问题转化为对偶问题(’Equivalent’ SVM),其中的数学推导非常复杂,本文不做详细数学论证,但是会从概念和原理上进行简单的推导。
在《机器学习基石》课程中介绍的Regularization中,在最小化\(E_{in}\)过程中,添加了限制条件:\(w^Tw\leq C\)。我们的求解方法是引入拉格朗日因子\(\lambda\),将有条件的最小化问题转换为无条件的最小化问题:\[min\ E_{aug}(w)=E_{in}(w)+\frac{\lambda}{N}w^Tw\],最终得到的\(w\)的最优化解为:\[\nabla E_{in}(w)+\frac{2\lambda}{N}w=0\]
所以,在regularization问题中,\(\lambda\)是已知常量,求解过程很容易。那么,对于dual SVM问题,同样可以引入\(\lambda\),将条件问题转换为非条件问题,只不过\(\lambda\)是未知参数,且个数是\(N\),需要对其进行求解。

如何将条件问题转换为非条件问题?上一节课我们介绍的SVM中,目标是:\(min\ \frac{1}{2}w^Tw\),条件是:\(y_n(w^Tz_n+b)\geq 1,\ for\ n=1,2,\cdots,N\)。首先,我们令拉格朗日因子为\(\alpha_n\)(区别于regularization),构造一个函数:
\[L(b,w,\alpha)=\frac{1}{2}w^Tw+\sum_{n=1}^N\alpha_n(1-y_n(w^Tz_n+b))\],这个函数右边第一项是SVM的目标,第二项是SVM的条件和拉格朗日因子\(\alpha_n\)的乘积。我们把这个函数称为拉格朗日函数,其中包含三个参数:\(b,w,\alpha_n\)。

下面,利用拉格朗日函数,把SVM构造成一个非条件问题:

该最小化问题中包含了最大化问题,怎么解释呢?首先我们规定拉格朗日因子\(\alpha_n\geq0\),根据SVM的限定条件可得:\((1-y_n(w^Tz_n+b))\leq 0\),如果没有达到最优解,即有不满足\((1-y_n(w^Tz_n+b))\leq 0\)的情况,因为\(\alpha_n\geq 0\),那么必然有\(\sum_n\alpha_n(1-y_n(w^Tz_n+b))\geq 0\)。对于这种大于零的情况,其最大值是无解的。如果对于所有的点,均满足\((1-y_n(w^Tz_n+b))\leq 0\),那么必然有\(\sum_n\alpha_n(1-y_n(w^Tz_n+b))\leq 0\),则当\(\sum_n\alpha_n(1-y_n(w^Tz_n+b))=0\)时,其有最大值,最大值就是SVM的目标:\(\frac{1}{2}w^Tw\)。因此,这种转化为非条件的SVM构造函数的形式是可行的。
现在,我们已经将SVM问题转化为与拉格朗日因子\(\alpha_n\)有关的最大最小值形式。已知\(\alpha_n\geq 0\),那么对于任何固定的\(\alpha’\),且\(\alpha_n’\geq 0\),一定有如下不等式成立:

对上述不等式右边取最大值,不等式同样成立:

上述不等式表明,我们对SVM的min和max做了对调,满足这样的关系,这叫做Lagrange dual problem。不等式右边是SVM问题的下界,我们接下来的目的就是求出这个下界。
已知\(\geq\)是一种弱对偶关系,在二次规划QP问题中,如果满足以下三个条件:
那么,上述不等式关系就变成强对偶关系,\(\geq\)变成\(=\),即一定存在满足条件的解\((b,w,\alpha)\),使等式左边和右边都成立,SVM的解就转化为右边的形式。
经过推导,SVM对偶问题的解已经转化为无条件形式:

其中,上式括号里面的是对拉格朗日函数\(L(b,w,\alpha)\)计算最小值。那么根据梯度下降算法思想:最小值位置满足梯度为零。首先,令\(L(b,w,\alpha)\)对参数\(b\)的梯度为零:

也就是说,最优解一定满足\(\sum_{n=1}^N\alpha_ny_n=0\)。那么,我们把这个条件代入计算max条件中(与\(\alpha_n\geq 0\)同为条件),并进行化简:

这样,SVM表达式消去了\(b\),问题化简了一些。然后,再根据最小值思想,令\(L(b,w,\alpha)\)对参数\(w\)的梯度为零:

即得到\[w=\sum_{n=1}^{N}\alpha_n y_n z_n\]也就是说,最优解一定满足\(w=\sum_{n=1}^N\alpha_ny_nz_n\)。那么,同样我们把这个条件代入并进行化简:

这样,SVM表达式消去了\(w\),问题更加简化了。这时候的条件有3个:
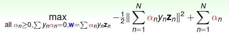
SVM简化为只有\(\alpha_n\)的最佳化问题,即计算满足上述三个条件下,函数\(-\frac{1}{2}\|\sum_{n=1}^N\alpha_ny_nz_n\|^2+\sum_{n=1}^N\alpha_n\)最小值时对应的\(\alpha_n\)是多少。
总结一下,SVM最佳化形式转化为只与\(\alpha_n\)有关:

其中,满足最佳化的条件称之为Karush-Kuhn-Tucker(KKT):

在下一部分中,我们将利用KKT条件来计算最优化问题中的\(\alpha\),进而得到\(b\)和\(w\)。
上面我们已经得到了dual SVM的简化版了,接下来,我们继续对它进行一些优化。首先,将max问题转化为min问题,再做一些条件整理和推导,得到:

显然,这是一个convex的QP问题,且有\(N\)个变量\(\alpha_n\),限制条件有\(N+1\)个。则根据上一节课讲的QP解法,找到\(Q,p,A,c\)对应的值,用软件工具包进行求解即可。

求解过程很清晰,但是值得注意的是,\(q_{n,m}=y_ny_mz^T_nz_m\),大部分值是非零的,称为dense。当\(N\)很大的时候,例如\(N=30000\),那么对应的\(Q_D\)的计算量将会很大,存储空间也很大。所以一般情况下,对dual SVM问题的矩阵\(Q_D\),需要使用一些特殊的方法,这部分内容就不再赘述了。

得到\(\alpha_n\)之后,再根据之前的KKT条件,就可以计算出\(w\)和\(b\)了。首先利用条件\(w=\sum\alpha_ny_nz_n\)得到w,然后利用条件\(\alpha_n(1-y_n(w^Tz_n+b))=0\),取任一\(\alpha_n\neq 0\)即\(\alpha_n>0\)的点,得到\(1-y_n(w^Tz_n+b)=0\),进而求得\(b=y_n-w^Tz_n\)。

值得注意的是,计算\(b\)值,\(\alpha_n>0\)时,有\(y_n(w^Tz_n+b)=1\)成立。\(y_n(w^Tz_n+b)=1\)正好表示的是该点在SVM分类线上,即fat boundary。也就是说,满足\(\alpha_n>0\)的点一定落在fat boundary上,这些点就是Support Vector。这是一个非常有趣的特性。
回忆一下,上一节课中,我们把位于分类线边界上的点称为support vector(candidates)。本节课前面介绍了\(\alpha_n>0\)的点一定落在分类线边界上,这些点称之为support vector(注意没有candidates)。也就是说分类线上的点不一定都是支持向量,但是满足\(\alpha_n>0\)的点,一定是支持向量。

SV只由\(\alpha_n>0\)的点决定,根据上一部分推导的\(w\)和\(b\)的计算公式,我们发现,\(w\)和\(b\)仅由SV即\(\alpha_n>0\)的点决定,简化了计算量。这跟我们上一节课介绍的分类线只由“胖”边界上的点所决定是一个道理。也就是说,样本点可以分成两类:一类是support vectors,通过support vectors可以求得fattest hyperplane;另一类不是support vectors,对我们求得fattest hyperplane没有影响。
回过头来,我们来比较一下SVM和PLA的\(w\)公式:

二者在形式上是相似的。\(w_{SVM}\)由fattest hyperplane边界上所有的SV决定,\(w_{PLA}\)由所有当前分类错误的点决定。\(w_{SVM}\)和\(w_{PLA}\)都是原始数据点\(y_nz_n\)的线性组合形式,是原始数据的代表。

总结一下,本节课和上节课主要介绍了两种形式的SVM,一种是Primal Hard-Margin SVM,另一种是Dual Hard_Margin SVM。Primal Hard-Margin SVM有\(\hat{d}+1\)个参数,有\(N\)个限制条件。当\(\hat{d}+1\)很大时,求解困难。而Dual Hard_Margin SVM有\(N\)个参数,有\(N+1\)个限制条件。当数据量\(N\)很大时,也同样会增大计算难度。两种形式都能得到\(w\)和\(b\),求得fattest hyperplane。通常情况下,如果\(N\)不是很大,一般使用Dual SVM来解决问题。
这节课提出的Dual SVM的目的是为了避免计算过程中对\(\hat{d}\)的依赖,而只与\(N\)有关。但是,Dual SVM是否真的消除了对\(\hat{d}\)的依赖呢?其实并没有。因为在计算\(q_{n,m}=y_ny_mz_n^Tz_m\)的过程中,由\(z\)向量引入了\(\hat{d}\),实际上复杂度已经隐藏在计算过程中了。所以,我们的目标并没有实现。下一节课我们将继续研究探讨如何消除对\(\hat{d}\)的依赖。

本节课主要介绍了SVM的另一种形式:Dual SVM。我们这样做的出发点是为了移除计算过程对\(\hat{d}\)的依赖。Dual SVM的推导过程是通过引入拉格朗日因子\(\alpha\),将SVM转化为新的非条件形式。然后,利用QP,得到最佳解的拉格朗日因子\(\alpha\)。再通过KKT条件,计算得到对应的\(w\)和\(b\)。最终求得fattest hyperplane。下一节课,我们将解决Dual SVM计算过程中对\(\hat{d}\)的依赖问题。
机器学习技法2-Dual Support Vector Machine
原文:https://www.cnblogs.com/SweetZxl/p/10985380.html