反函数
反函数与原函数的定义域值域两者正好颠倒,他们关于y=x对称,值得注意的是反函数也是函数,他们具有函数的性质。例如x与y一对一原则,圆就不是函数,它是一对二了。当要求一个函数的反函数的时候有一下方法:将原函数用x解出来,第二部将其定义域加上。当要求我们判断一个函数是不是反函数的时候,我们可以先假设它有反函数,然后将其用上面的方法求出来,然后我们再用函数的性质判断他是否是函数,就可解决此问题。当题目给出反函数,让我们求原函数的时候,我们可以根据书上所说反函数记作x=f-1(y),而通常我们习惯上写y=f-1(x),这样我们就知道其实给出的反函数只要将它的x变成y,y变成x就可以了。
反函数引申:反三角函数是不是三角函数的反函数呢?答案是否定的,因为三角函数没有反函数,或者说在一定的定义域内是有反三角函数的,换一句话说,只有单调的函数才有反函数,所以我们取三角函数的单调区间来研究其反三角函数,sinx为【-π/2,π/2】、cosx为【0,π】、tanx为【-π/2,π/2】(其他的区间我们都不看,这是规定),这样我们就可以根据其单调的区间来画图像了,有一个好用的方法是将“原”函数逆时针旋转90度,再将图像关于x轴对称就可以了。我们知道他们的规定单调区间后我们就等同于知道对应的反函数的值域与定义域(因为值域=原函数定义域,定义域=原函数值域)
在三角函数里面还有一个是cot(x)=1/tan(x),在画反余切的时候我们取【0,π】

函数定义:函数是根据这个“function”对应法则来建立的关系,所以就有了y=f(x),它是一个抽象的函数,没有具体的对应法则。
注1:函数两个要素定义域,对应法则;是否为同一个函数与自变量的表现形式无关
根据这个就有了一个解定义域的题目:f(x)的定义域是【-1,2】,则g(x)=f(2x)+f(x+2)的定义域是?2x就是x,x+2就是x,即-1<=2x<=2;-1<=x+2<=2;
函数的性质:1.有界性----------->将函数的值放在一个圈子里面包起来,函数的值不能超过这个值,因为是一个一维的数轴空间所以我们要加上绝对值。任意的x,存在|f(x)|<=M,即往上跑跑不过M,往下跑跑不过-M,这样才能说有界,不能只有上值没有下值。
引申:函数的上界为任意的x带入函数中,存在一个数>=f(x);最小的上界为上确界。举栗子|sinx|<=1,也可以说<=2、<=3;其中1为函数的上确界,2、3为上界,上界有无穷多个,我们关心的只是上确界。同理下界也有多个,最大的下界为下确界。
注1:f(x)有界则说明函数既有上界又有下界
根据这个有界性,我们有一种例题,用函数的放缩来判断函数有没有界。f(x)=x/1+x2,证明有界则要|f(x)|<=M,所以|x/1+x2|<M,存在M,我们将M找出来,运用放缩,1+x^2>=2x( a^2+b^2,分母越大反而越小,这样不等式就出来了,M=1/2.
注2:函数有界一定要指明区间,例如1/x,在【1,2】为有界的,在【-1,1】区间是无界的
2.单调性 x1>x2 f(x1)>f(x2)则为单调递增,这个为严格的单调递增,f(x1)>=f(x2),不是的,一般我们用导数的性质来求单调性的
3.奇偶性 在定积分那里具有应用 在这里注意一个函数f(x)=ln(x+根号(1+x^2))为奇函数,f(-x)=(-x+根号(1+x^2)),遇到根式差值有理化,切记切记切记!
第一步求出函数的定义域,奇偶性一定要求函数的定义域是对称的,为什么呢?因为我们要将-x带进去,如果负数取不到则不行。
第二步f(-x)与f(x)的关系,f(-x)=f(x)与f(-x)=-f(x),或者f(-x)-f(x)=0,f(-x)+f(x)=0,注意这个为抽象的函数判断,我们不知道函数的具体形式,例如判断f(x)+f(-x)或者f(x)-f(-x)的奇偶性,令F(x)=f(x)+f(-x),则F(-x)=f(-x)+f(x)=F(x),所以f(x)+f(-x)为偶函数,同理f(x)-f(-x)为奇函数
当为具体的函数的时候,我们常用性质来做,具体性质有:奇+奇=偶,偶+偶=偶,奇*奇=偶,奇*偶=奇,偶*偶=偶,奇/偶=奇,我们记忆的时候可以用口诀“同偶异奇”但是奇+偶(有可能是奇有可能是偶)除外
最后我们证明一下奇函数+偶函数是不确定的奇偶性,[f(x)+f(-x)]+[f(x)-f(-x)],这个就是奇函数加上偶函数,我们知道结果为2f(x);所以奇偶性取决于f(x)本身他要是给你的是奇函数就是奇函数,给你的是偶函数就是偶函数。
通常我们的奇偶性在定积分的特定计算上用
4.周期性
f(x+T)=f(x),则T为函数的一个最小周期
有一类题目是要我们求两个函数加起来后的周期F(x)=f(x)+g(x),则是T1与T2的最小公倍数
分段函数 你的地盘听你的
第一种:

在数轴上x的左边与x的右边都是表达式sinx/x,在求函数的左右导数的时候我们就能用的上了,记住一句话,在谁的领域就听谁的,左右导数分为在x轴的左边接近0,在x轴的右边接近0,分别用x->0+,x->0-。
第二种
|x|


一个函数的极限是不能有两个值的,所以这个函数的极限是不存在的
第三种
[x] 用于取x的整数部分,小于x的最大整数。

第一个是从右边趋向于0,一个是从左边趋向于0
第四种(隐蔽的)这种在积分里面考


这个我们就要分段考虑的
第五种经常出现在不定积分与定积分中
例如max(x,x^2) min(x,x^2)
通过画图将函数的图像画出来,然后将对应的区间max所对应的函数写出来
总结: 分段函数经常考极限、连续、导数(难点且重要)、不定积分、定积分(重要)
复合函数
复合函数的条件:内层函数的值域是外层函数的定义域的子集,所以并不是所有组合在一起的都是复合函数
经常会放在f(ex+1)=e2x+ex+1,求f(x)的表达式,会有这种的题型,我们这时候要用到反函数了,就是解出x的表达式然后带入原式子
初等函数为对基本的初等函数经过复合,加减乘除的运算形成的,分段函数不是初等函数,初等函数在它的定义域内是连续的是可导的,所以我们会讨论分段函数有分段点(接头点),来证明是否为连续的
数列极限
概念

数列an收敛于a,反之发散
注意:
是一个要多小有多小的数,任意的,N是关于
的函数,N是跟随着
的变化的,a为极限的值,n为数列的下标对应的值
性质:
1.唯一性
2.有界性 是根据概念来的,|an-a|<
推出a-
<an<a+
3.极限的四则运算
方法:分子分母除以最高次幂的式子,根式有理化


极限存在的两个准则(计算极限的方法)
1.夹逼准则(数列和式)

第一步放缩,放是将所有的分母变成和式的最左边的分母,缩是将所有的分母都换成和式最右边的分母
第二步比较左右两边放缩的式子极限的是否相等
口诀:夹逼准则看两头,看了两头不用愁,看了两头仍发愁,积分定义帮你求

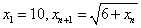
2.单调有界数列必有极限(具有递推式的数列)即给出如下的形式,不能用求导,求导只能用于连续的函数
![]()
我们证明数列的单调性,我们要么做差要么做除,数学归纳法
数学归纳法
1.证明单调性

我们一看就知道这个数列是单调递减的数列,所以第一步假设符合单调递减的形式xn-1>xn
第二步我们将这个假设当作是正确的,我们只要证明在这个假设的条件下,xn>xn+1就可以了。

2.证明有界
铺垫: 数列收敛于某一个数的性质,如果一个数列收敛于一个数,则它的子数列也收敛于同一个值,an收敛于a,则a2n+1、a2n、an+1也收敛于a,因为他们为an的子数列
假定xn的极限存在且为A,则xn+1的极限也是A,所以有题干就知道A=根号6+A,接的A=3,这个3就是这个数列的极限

这个3就是上面的铺垫来的
所以这个函数是单调且有界,必有极限,其实这个3就是极限
总结:单调有界两步走,先求后证分到手,先求它的界值
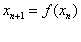
极限的运算

古人以右为尊,所以+表示右边,-表示左边。连续的意思是函数在这一点的极限等于该点的函数值,极限存不存在与这一点是否有意义无关,例如第一个重要极限,x能不等0,但是极限还是存在的
定理:

X从左边与右边一起过来的
性质:有界性(局部有界性)、保号性(局部保号性),局部是因为在邻域中考虑的,与极值一样也是在邻域中考虑的
运算法则:四则运算

存在+存在=存在,存在-存在=存在,存在*存在=存在,存在/存在(不为0)=存在
经过四则运算后,可以得到所求得函数样子,则所求的函数极限存在;从单个存在可以推出整体的存在,或者将整体的存在,经过四则运算可以可以得到单个的存在
当所求的极限是一个分数的多项式且为趋向于无穷的时候,当分母的最高次幂=分子的最高次幂,等于其最高项之比,大于是为0,小于时为无穷
削去0因子法
当我们带入极限值为0的时候,则说明这个值为方程的一个根,我们通过因式分解将0因子削去
等价无穷小

将值向里面代入的时候(求极限的第一步)会有7中情况

性质:有限个无穷小量的和、差、积还是无穷小量

有界函数于无穷小量的乘积还是无穷小量

无穷小的阶比较

在求极限的时候如果没有用等价无穷小,则我这个题目做的有问题,最难的就是x的广义化
八个函数的等价无穷小
注意:等价无穷小使用时《‘+’、‘-’》中慎用,在因式的乘积中可用


无穷小等价化、根式差值有理化、幂指函数对数化、强行带入、定型定法、以洛为主
定:确定是哪种类型的

基本考的是0/0,洛必达法则要三思,用等价无穷小

“通分”
幂指数用e来通用化
在求极限的时候,我们看见cosx,就要想到1-cosx2,看见lnx,就要想到ln(x+1),看到ex,就要想到ex-1
待更新。。。。。。
原文:https://www.cnblogs.com/han3/p/11219518.html