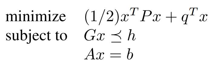
二次规划标准型

例如

其中
\[\begin{array}{*{20}{c}}
{P = \left[ {\begin{array}{*{20}{c}}
{4,}&1\\
{1,}&2
\end{array}} \right]}&{q = \left[ {\begin{array}{*{20}{c}}
1\\
1
\end{array}} \right]}\\
\begin{array}{l}
G = \left[ {\begin{array}{*{20}{c}}
{ - 1,}&0\\
{0,}&{ - 1}
\end{array}} \right]\\
A = \left[ {\begin{array}{*{20}{c}}
{1,}&1
\end{array}} \right]
\end{array}&\begin{array}{l}
h = \left[ {\begin{array}{*{20}{c}}
0\\
0
\end{array}} \right]\\
b = 1
\end{array}
\end{array}\]
代码如下:
from cvxopt import matrix, solvers Q = 2*matrix([ [2, .5], [.5, 1] ]) p = matrix([1.0, 1.0]) G = matrix([[-1.0,0.0],[0.0,-1.0]]) h = matrix([0.0,0.0]) A = matrix([1.0, 1.0], (1,2)) b = matrix(1.0) sol=solvers.qp(Q, p, G, h, A, b) print(sol[‘x‘])
注:
matrix元素的类型必须是double类型,可以通过如下语句设置。
A = matrix([1, 1], (1,2), ‘d‘)
参考链接:
https://cvxopt.org/examples/index.html
https://cvxopt.org/userguide/index.html
原文:https://www.cnblogs.com/yijuncheng/p/11248633.html