7.2 The Mean and Standard Deviation of the Sample Mean
Recall that the mean of a variable is denoted μ, subscripted if necessary with the letter representing the variable. So the mean of x is written as μx , the mean of y as μy , and so on. In particular, then, the mean of x¯ is written as μx¯; similarly, the standard deviation of x¯ is written as σx¯.
There is a simple relationship between the mean of the variable x¯ and the mean of the variable under consideration: They are equal, or μx¯ = μ.
Example:
Sample size:2

The mean of population:
基于:

Mean of the Sample Mean:

所以:

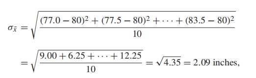
Standard Deviation of the Sample Mean:(研究population 方差与sample mean的方差的关系)
Standard Deviation of population:

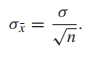
Standard Deviation of the Sample Mean:


the standard deviation of x¯ gets smaller as the sample size gets larger.(因为公式二中n作为分母,方差随分母变小而变大)
When sampling is done without replacement from a finite population(无放回是指每次抽取的两个样本绝不相同,eg,76,78;所以本例中是无放回)

When sampling is done with replacement from a finite population(有放回是指每次抽取的两个样本有可能相同,eg,76,76)

When the sample size is small relative to the population size, there is little difference between sampling with and without replacement.(极端值便是每次抽一个样本,放回和不放回都一样)
As a rule of thumb, we say that the sample size is small relative to the population size if the size of the sample does not exceed 5% of the size of the population (n ≤ 0.05N)
因为实际操作来说,我们能取到得样本数绝对远小于population,所以本书中使用公式二近似公式一
In most practical applications, the sample size is small relative to the population size, so in this book, we use the second formula only
This explains mathematically why the standard deviation of x¯ decreases as the sample size increases.
所以,采用更大sample size对于估计总体均值有帮助:
1.The larger the sample size, the smaller is the standard deviation of x¯.
2.The smaller the standard deviation of x¯, the more closely the possible values of x¯(the possible sample means) cluster around the mean of x¯.
3.The mean of x¯ equals the population mean.
the standard error of x¯变少,所以,sample errors 变少, 所以在这里引入标准差:In general, the standard deviation of a statistic used to estimate a parameter is called the standard error (SE) of the statistic.
The Mean of the Sample Mean|Standard Deviation of the Sample Mean|SE
原文:https://www.cnblogs.com/yuanjingnan/p/11250081.html