[首页]
[文章]
[教程]
首页
Web开发
Windows开发
编程语言
数据库技术
移动平台
系统服务
微信
设计
布布扣
其他
数据分析
首页
>
其他
> 详细
矩阵乘法(超详细!!!)
时间:
2019-08-26 13:11:10
阅读:
122
评论:
0
收藏:
0
[点我收藏+]
矩阵是什么?
是一个数字阵列,一个二维数组,n行r列的阵列称为n*r矩阵。如果n==r则称为方阵。
2×3矩阵
5×5方阵
特殊的
单位矩阵
,除了对角线为1,其他位置为0的矩阵。类似乘法中的1.
3×3单位矩阵I=
矩阵乘法
矩阵乘法中
第一个矩阵的列要等于第二个矩阵的行
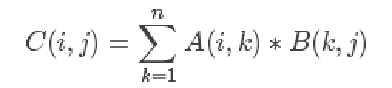
一个m∗n的的A矩阵,和一个n∗p的B矩阵相乘,将得到一个m∗p的矩阵C
来水道炒鸡简单的习题——
矩阵 A×B(信息学奥赛一本通 1641)
【题目描述】
矩阵 A 规模为 n×m,矩阵 B 规模为 m×p,现需要你求 A×B。 矩阵相乘的定义:n×m 的矩阵与 m×p 的矩阵相乘变成 n×p 的矩阵,令 aik为矩阵 AA中的元素,bkj为矩阵 B中的元素,则相乘所得矩阵 C中的元素
【输入】
第一行两个数 n,m; 接下来 n 行 m 列描述一个矩阵 A; 接下来一行输入 p; 接下来 m 行 p 列描述一个矩阵 B。 【输出】 输出矩阵 AA 与矩阵 BB 相乘所得的矩阵 C。
【输入样例】
2 3
1 2 3
3 2 1
2
11
2 2
3 3
【输出样例】
14 14
10 10
矩阵乘法中方阵可以用快速幂加速递推
方阵C=An,因为矩阵满足结合律可以随意拆开乘再合并
用一道简单的模板题来加深对“
矩阵乘法加速递推
”的理解吧——
Fibonacci 第 n 项(信息学奥赛一本通 1642)
【题目描述】
大家都知道 Fibonacci 数列吧,f1=1,f2=1,f3=2,f4=3,…,fn=fn−1+fn−2 。 现在问题很简单,输入 n和 m,求 fn mod m。
【输入】
输入 n,m。
【输出】
输出 fn mod m。
【输入样例】
5 1000
【输出样例】
5
题意:
fn=fn-1+fn-2
构造:
fn-1=fn-1+0*fn-2
构造一维递推式和相同维数的方阵。
矩阵乘法(超详细!!!)
原文:https://www.cnblogs.com/ljy-endl/p/11411665.html
踩
(
0
)
赞
(
0
)
举报
评论
一句话评论(
0
)
登录后才能评论!
分享档案
更多>
2021年09月23日 (328)
2021年09月24日 (313)
2021年09月17日 (191)
2021年09月15日 (369)
2021年09月16日 (411)
2021年09月13日 (439)
2021年09月11日 (398)
2021年09月12日 (393)
2021年09月10日 (160)
2021年09月08日 (222)
最新文章
更多>
2021/09/28 scripts
2022-05-27
vue自定义全局指令v-emoji限制input输入表情和特殊字符
2022-05-27
9.26学习总结
2022-05-27
vim操作
2022-05-27
深入理解计算机基础 第三章
2022-05-27
C++ string 作为形参与引用传递(转)
2022-05-27
python 加解密
2022-05-27
JavaScript-对象数组里根据id获取name,对象可能有children属性
2022-05-27
SQL语句——保持现有内容在后面增加内容
2022-05-27
virsh命令文档
2022-05-27
教程昨日排行
更多>
1.
list.reverse()
2.
Django Admin 管理工具
3.
AppML 案例模型
4.
HTML 标签列表(功能排序)
5.
HTML 颜色名
6.
HTML 语言代码
7.
jQuery 事件
8.
jEasyUI 创建分割按钮
9.
jEasyUI 创建复杂布局
10.
jEasyUI 创建简单窗口
友情链接
汇智网
PHP教程
插件网
关于我们
-
联系我们
-
留言反馈
- 联系我们:wmxa8@hotmail.com
© 2014
bubuko.com
版权所有
打开技术之扣,分享程序人生!