1、原理参考:https://www.cnblogs.com/guopengfei/p/4759569.html
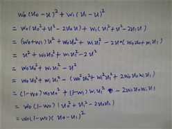
2、公式推导:

3、同halcon的binary_threshold (Image, Region, ‘max_separability‘, ‘light‘, UsedThreshold3)算子。
具体推导如下:
gray_histo (Region, Image, AbsoluteHisto, RelativeHisto)
nAveragray:=0
for Index := 0 to 255 by 1
nAveragray:=nAveragray+RelativeHisto[Index]*Index
endfor
wk:=0.0
uk:=0.0
MaxDiff:=0.0
Diff:=0.0
AutoThre:=0
for Index := 0 to 255 by 1
wk:=wk+RelativeHisto[Index]
uk:=uk+RelativeHisto[Index]*Index
if(wk<=0.0 or wk>=1.0)
Diff:=0
else
Diff:=(nAveragray*wk-uk)*(nAveragray*wk-uk )/(wk*(1-wk))
endif
if(Diff>MaxDiff)
MaxDiff:=Diff
AutoThre:=Index
endif
endfor
原文:https://www.cnblogs.com/baiyy-daheng/p/11421537.html