1.已知文法:
S->a|^|(T)
T->T,S|S
分析句型(T,(^,a)),求全部的短语、直接短语和句柄
答:
该句型的左推导为:
S->(T)
->(T,S)
->(T,(T))
->(T,(T,S))
->(T,(S,S))
->(T,(^,S))
->(T,(^,a))
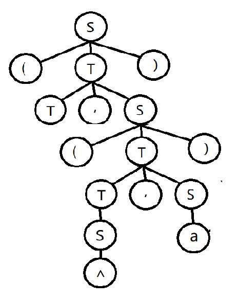
根据推导得文法树如下:

文法树可得:
短语:
^ ^,a (^,a) T,(^,a) (T,(^,a))
直接短语:
T , ( ) ^ , a
句柄:
T
2.构造上下文无关文法,描述语言:
{a^nb^n|n>=0}
{a^mb^n|m>=n>=0}
if语句
答:
G[S]:S->xSy|xy|ε
G[S]:S->xSyS|x|y|ε
if语句->if(条件)then(语句)|if(条件)then(语句1)else(语句2)
原文:https://www.cnblogs.com/huangwenshuo/p/11546421.html