Hessian Free方法其实在多年前就已经被使用,但为什么Martens论文又重提这个方法呢?其实它们的不同在于H矩阵”free”的方式不同,因为隐式计算H的方法可以有很多种,而算法的名字都可以叫做HF,因此不能简单的认为Martens文章中在Deep Learning中的HF方法就是很久以前存在的方法了(如果真是如此,Deep Learning在N年前就火了!),只能说明它们的思想类似。将HF思想应用于DL网络时,需要用到各种技巧,而数学优化本身就是各种技巧、近似的组合。Matrens主要使用2个大思想+5个小技巧(论文给出的大概是5个,但是其code里面还有不少技巧论文中没有提到)来完成DL网络的训练。
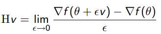
idea 1:利用某种方法计算Hv的值(v任意),比如说常见的对误差导函数用有限差分法来高精度近似计算Hv(见下面公式),这比以前只是用一个对角矩阵近似Hessian矩阵保留下来的信息要多很多。通过计算隐式计算Hv,可以避免直接求H的逆,一是因为H太大,二是H的逆有可能根本不存在。

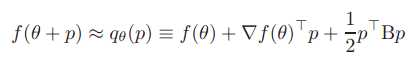
idea 2:用下面二次项公式来近似得到θ值附近的函数值。且最佳搜索方向p由CG迭代法(该算法简单介绍见前面博文:机器学习&数据挖掘笔记_12(对Conjugate Gradient 优化的简单理解))求得。

技巧1:计算Hv时并不是直接用有限差分法,而是利用Pearlmutter的R-operator方法(没看懂,但是该方法优点有很多)。
技巧2:用Gauss-Newton矩阵G来代替Hessian矩阵H,所以最终隐式计算的是Gv.
技巧3:作者给出了用CG算法(有预条件的CG,即先对参数θ进行了一次线性坐标变换)求解θ搜索方向p时的迭代终止条件,即:

技巧4:在进行处理大数据学习时,用CG算法进行线性搜索时并没有用到所有样本,而是采用的mini-batch,因为从一些mini-batch样本已经可以获得关于曲面的一些有效曲率信息。
技巧5:用启发式的方法(Levenburg-Marquardt)求得系统的阻尼系数λ,该系数在预条件的CG算法中有用到,预条件矩阵M的计算公式为:

上面的7点需要详细阅读Martens的paper,且结合其paper对应的code来读(code见他的个人主页http://www.cs.toronto.edu/~jmartens/research.html).
下面来简单看看HF的流程图:

流程图说明的是:定义好系统的目标函数,见本博客中的第2个公式,接着定义一个最大权值更新次数max-epochs,每次循环时首先用BP算法求出目标函数的梯度值,接着用启发式的方法取得λ值,然后预条件CG方法来优化参数搜索方向p(此过程需要用到Hv形式的求解函数),最后更新参数进入下一轮。
关于code部分,简单说以下几点:
运行该程序,迭代到170次,共用了差不多20个小时,程序的输出如下:
maxiters = 250; miniters = 1 CG steps used: 250, total is: 28170 ch magnitude : 7.7864 Chose iters : 152 rho = 0.50606 Number of reductions : 0, chosen rate: 1 New lambda: 0.0001043 epoch: 169, Log likelihood: -54.7121, error rate: 0.25552 TEST Log likelihood: -87.9114, error rate: 3.5457 Error rate difference (test - train): 3.2901
code完成的是CURVES数据库的分类,用的是Autoencoder网络,网络的层次结构为:[784 400 200 100 50 25 6 25 50 100 200 400 784]。
conjgrad_1(): 完成的是预条件的CG优化算法,函数求出了CG所迭代的步数以及优化的结果(搜索方向)。
computeGV(): 完成的是矩阵Gv的计算,结合了R操作和Gauss-Newton方法。
computeLL(): 计算样本输出值的log似然以及误差(不同激发函数的输出节点其误差公式各异)。
nnet_train_2():该函数当然是核心函数了,直接用来训练一个DL网络,里面当少不了要调用conjgrad_1(),computeGV(),computeLL(),另外关于误差曲面函数导数的求法也是用的经典BP算法。
参考资料:
Martens, J. (2010). Deep learning via Hessian-free optimization. Proceedings of the 27th International Conference on Machine Learning (ICML-10).
机器学习&数据挖掘笔记_12(对Conjugate Gradient 优化的简单理解)
http://www.cs.toronto.edu/~jmartens/research.html
http://pillowlab.wordpress.com/2013/06/11/lab-meeting-6102013-hessian-free-optimization/
Deep learning:四十三(用Hessian Free方法训练Deep Network)
原文:https://www.cnblogs.com/think90/p/11619616.html