分析:本题目属于求解分段函数方程,可以将\(f(x)\)这个整体视为已知中的\(x\),则原分段函数方程等价于
第一种情形,\(0\leq f(x)\leq 1\)且\(f(x)=1\);或第二种情形,\(f(x)-3=1\)且\(f(x)\notin[0,1]\),
其中第一种可化简为\(0\leq f(x)\leq 1\),再等价转化为\(\begin{cases}x\in[0,1]\\f(x)=1\end{cases}\)或\(\begin{cases}x\notin[0,1]\\0\leq x-3\leq 1\end{cases}\)
解得\(0\leq x\leq 1\)或\(3\leq x\leq 4\);
第二种可化简为\(f(x)=4\),再等价转化为\(\begin{cases}x\in[0,1]\\1=4\end{cases}\)或\(\begin{cases}x\notin[0,1]\\x-3=4\end{cases}\),解得\(x=7\);
综上所述,\(x\)的取值范围是\([0,1]\cup[3,4]\cup\{7\}\),故选\(D\)。
【法1】:利用复合函数的图像解决问题;首先利用函数的奇偶性求出函数\(f(x)\)的解析式;
题目给定了\(x<0\)时的解析式,则当\(x>0\)时,\(-x<0\),则\(f(-x)=(-x+1)e^{-x}\),
又函数\(f(x)\)为奇函数,则\(f(x)=-f(-x)=-(-x+1)e^{-x}=(x-1)e^{-x}\),又\(f(0)=0\),
故函数的解析式为\(f(x)=\left\{\begin{array}{l}{(x+1)e^x,x<0}\\{0,x=0}\\{(x-1)e^{-x},x>0}\end{array}\right.\)
接下来利用导数先研究\(x<0\)时的单调性,\(f(x)=(x+1)e^x\),则\(f'(x)=(x+2)e^x\),
则\(x\in (-\infty,-2)\)时,函数\(f(x)\)单调递减,\(x\in (2,0)\)时,函数\(f(x)\)单调递增,又\(f(0)=1\),
故结合单调性和奇偶性,做出\(R\)上的函数示意图如下:
接下来分析复合函数\(h(x)=f[f(x)]\)的图像。
当\(x=0\)时,\(f(0)=0\)时,\(f(f(0))=0\);
当\(x\in (0,1)\)时,内函数\(f(x)\)单调递增,且\(f(x)\in (-1,0)\),此时外函数在\((-1,0)\)上也单调递增,故\(f(f(x))\)在\(x\in (0,1)\)上单调递增;
当\(x=1\)时,\(f(1)=0\),\(f(f(1))=0\);
当\(x\in (1,2)\)时,内函数\(f(x)\)单调递增,且\(f(x)\in (0,e^{-2})\),此时外函数在\((0,e^{-2})\)上也单调递增,故\(f(f(x))\)在\(x\in (1,2)\)上单调递增,且函数值从\(1\)逐渐增大到\(f(f(2))\)且\(f(f(2))<0\);
当\(x\in (2,+\infty)\)时,内函数\(f(x)\)单调递减,且\(f(x)\in (0,e^{-2})\),此时外函数在\((0,e^{-2})\)上单调递增,故\(f(f(x))\)在\(x\in (2,+\infty)\)上单调递减,且函数值逐渐趋近于\(-1\);
然后,用奇函数的性质对称画出\(x<0\)的那一部分,总体图像如下图所示;
由图可知,函数\(y=f(f(x))\)和\(y=m\)的交点最多有三个,故选\(A\);
【法2】:由外向里,从函数值找自变量,首先利用函数的奇偶性求出函数\(f(x)\)的解析式;
题目给定了\(x<0\)时的解析式,则当\(x>0\)时,\(-x<0\),则\(f(-x)=(-x+1)e^{-x}\),
又函数\(f(x)\)为奇函数,则\(f(x)=-f(-x)=-(-x+1)e^{-x}=(x-1)e^{-x}\),又\(f(0)=0\),
故函数的解析式为\(f(x)=\left\{\begin{array}{l}{(x+1)e^x,x<0}\\{0,x=0}\\{(x-1)e^{-x},x>0}\end{array}\right.\)
接下来利用导数先研究\(x<0\)时的单调性,\(f(x)=(x+1)e^x\),则\(f'(x)=(x+2)e^x\),
则\(x\in (-\infty,-2)\)时,函数\(f(x)\)单调递减,\(x\in (2,0)\)时,函数\(f(x)\)单调递增,又\(f(0)=1\),
故结合单调性和奇偶性,做出\(R\)上的函数示意图如下:
令\(F(x)=0\),即\(f(f(x))=m\),由图可知,要使得函数\(y=f(f(x))\)与\(y=m\)的图像有交点,则\(m\in (-1,1)\);接下来关于\(m\)的取值分类讨论如下:
当\(m\in (0,e^{-2})\)时,如图所示,内函数\(f(x)=a,a\in (-1,0)\)或\(f(x)=b,b\in (1,2)\)或\(f(x)=c,c\in (2,+\infty)\)
若\(f(x)=b\)或\(f(x)=c\)时,不存在\(x\);注意应该是在\(y\)轴上找点\((0,b)\),然后过此点做\(x\)轴的平行线,显然和函数的图像没有交点;
若\(f(x)=a, a\in (-1,0)\)时,此时和函数的图像最多有三个交点;
当\(m\in (e^{-2},1)\)时,内函数\(f(x)=a,a\in (-1,0)\),此时\(f(x)\in (-1,0)\)时,函数\(y=a\)和函数\(y=f(x)\)图像最多有三个交点,
同理,当\(m\in (-e^{-2},0)\)或\(m\in (-1,-e^{-2})\)时,仿上说明,同样最多有三个交点,故选\(A\);
分析:函数\(y=2f^2(x)-3f(x)+1\)的零点个数即方程\(2f^2(x)-3f(x)+1=0\)的根的个数,
故先求解方程\(2f^2(x)-3f(x)+1=0\),即\([2f(x)-1][f(x)-1]=0\),
解得\(f(x)=1\)或\(f(x)=\cfrac{1}{2}\),
接下来原方程的根的个数转化为方程\(f(x)=1\)或\(f(x)=\cfrac{1}{2}\)的根的个数,
故做出函数\(y=f(x)\)的图像和直线\(y=1\)和\(y=\cfrac{1}{2}\),
由图像可以看出,其共有\(5\)个交点,故原函数的零点个数为\(5\)个。
法1:从数的角度入手思考,将内函数\(f(x)\)理解为整体,则\(f(f(a))=1\)等价于以下的两个方程组,
Ⅰ.\(\left\{\begin{array}{l}{f(a)>0}\\{log_2f(a)=1}\end{array}\right.\),或者Ⅱ.\(\left\{\begin{array}{l}{f(a)\leq 0}\\{[f(a)]^2+4[f(a)]+1=1}\end{array}\right.\),
解Ⅰ得到,\(f(a)=2\)①;解Ⅱ得到,\(f(a)=0\)②或者\(f(a)=-4\)③;
再次求解①得到,\(\left\{\begin{array}{l}{a>0}\\{log_2a=2}\end{array}\right.\),或\(\left\{\begin{array}{l}{a\leq 0}\\{a^2+4a+1=2}\end{array}\right.\),
解得\(a=4\)或\(a=-2-\sqrt{5}\),
求解②得到,\(\left\{\begin{array}{l}{a>0}\\{log_2a=0}\end{array}\right.\),或\(\left\{\begin{array}{l}{a\leq 0}\\{a^2+4a+1=0}\end{array}\right.\),
解得\(a=1\)或\(a=-2\pm \sqrt{3}\),
求解③得到,\(\left\{\begin{array}{l}{a>0}\\{log_2a=-4}\end{array}\right.\),或\(\left\{\begin{array}{l}{a\leq 0}\\{a^2+4a+1=-4}\end{array}\right.\),
解得\(a=\cfrac{1}{16}\)或\(a\in \varnothing\),
故实数\(a\)的所有取值的和为\(4-2-\sqrt{5}+1-2-\sqrt{3}-2+\sqrt{3}+\cfrac{1}{16}=-\cfrac{15}{16}-\sqrt{5}\)。
法2:从图像入手分析,待编辑。
分析:首先学习理解一个分段函数方程的模型;
分析:先由奇偶性求得\(x>0\)时,\(f(x)=2x+1\),
即得到函数的解析式为\(f(x)=\begin{cases}2x-1&x<0\\0&x=0\\2x+1&x>0\end{cases}\),且已知\(f(a)=3\),求\(a\)的值,
等价转化为三个不等式组 \(\begin{cases}a<0\\2a-1=3\end{cases}\),或\(\begin{cases}a=0\\0=3\end{cases}\),或\(\begin{cases}a>0\\2a+1=3\end{cases}\),
解得\(a=1\)。
学习理解透彻了上述模型后,我们开始求解本题目:
【法1】:从数的角度求解;令\(f(x)=t\),则函数的零点问题转化为方程\(f(t)=-1\)的解的个数问题;
即相当于已知\(f(x)=\left\{\begin{array}{l}{x+1,x\leqslant 0}\\{lnx,x>0,}\end{array}\right.\) 且\(f(t)=-1\),求\(t\)的值;
则上述分段函数方程等价于\(\left\{\begin{array}{l}{t\leqslant 0}\\{t+1=-1}\end{array}\right.\) 或\(\left\{\begin{array}{l}{t> 0}\\{lnt=-1}\end{array}\right.\)
解得\(t=-2\)或者\(t=\cfrac{1}{e}\),即\(f(x)=-2\)或者\(f(x)=\cfrac{1}{e}\),到此题目又可以转化为
已知\(f(x)=\left\{\begin{array}{l}{x+1,x\leqslant 0}\\{lnx,x>0,}\end{array}\right.\) 且\(f(x)=-2\),求\(x\)的值;可以仿上求解得到\(2\)个\(x\)的值;
或已知\(f(x)=\left\{\begin{array}{l}{x+1,x\leqslant 0}\\{lnx,x>0,}\end{array}\right.\) 且\(f(x)=\cfrac{1}{e}\),求\(x\)的值;亦可以仿上求解得到\(2\)个\(x\)的值;
故所求的零点的个数为\(4\)个。
【法2】:从形的角度求解;先做出分段函数图像如下:
先将函数的零点问题转化为方程\(f[f(x)]=-1\)的根的个数问题;作直线\(y=-1\)与函数\(y=f(x)\)图像有两个交点,其横坐标分别为\(x=-2\)和\(x=\cfrac{1}{e}\),
然后在同样的图上,再分别作直线\(y=-2\)和\(y=\cfrac{1}{e}\),可以看出,这两条直线分别和分段函数\(y=f(x)\)有两个交点,故共有四个交点。即所求的零点的个数为\(4\)个。
法1:若能将\(f(a)\)理解成已知函数的\(x\),
则可以将\(f(f(a))\leq 2\)等价转化为以下的两个不等式组:
\(\begin{cases}&f(a)<0\\&f^2(a)+f(a)\leq 2 \end{cases}\) 或 \(\begin{cases}&f(a)\ge0\\&-f^2(a)\leq 2 \end{cases}\)
分别解得:\(-2\leq f(a)<0\)或\(f(a)\ge 0\),故\(f(a)\ge -2\);
到此问题转化为已知\(f(x)=\begin{cases}x^2+x,&x<0\\-x^2,&x\ge 0 \end{cases}\),\(f(a)\ge -2\),
求实数\(a\)的取值范围,这就容易多了。
再次转化为\(\begin{cases}&a<0\\&a^2+a\ge -2 \end{cases}\) 或 \(\begin{cases}&a\ge0\\&-a^2\ge -2 \end{cases}\)
分别解得:\(a<0\)或\(0\leq a\leq \sqrt{2}\),故实数\(a\)的取值范围为\((-\infty,+\sqrt{2}]\)。
解后反思:本题经过两次抽丝剥茧般的处理,第一次的结果得到\(f(a)\ge -2\),
第二次的结果得到\(a\in (-\infty,+\sqrt{2}]\)。
法2:图像法
自行做出函数图像,结合图像可知,

要使得\(f(f(a))\leq 2\),则必须\(f(a)\ge -2\),
这时就转化为分段函数不等式问题了。
\(f(a)\ge -2\)等价于以下两个不等式组:
\(\begin{cases}&a<0 \\&a^2+a\ge -2\end{cases}\)或\(\begin{cases}&a\ge 0 \\&-a^2\ge -2\end{cases}\)。
解得\(a<0\)或\(0\leq a\leq \sqrt{2}\),
故\(a\in(-\infty,\sqrt{2}]\)。

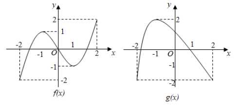
①方程\(f[g(x)]=0\)有且仅有\(6\)个根;②方程\(g[f(x)]=0\)有且仅有\(3\)个根;
③方程\(f[f(x)]=0\)有且仅有\(5\)个根;④方程\(g[g(x)]=0\)有且仅有\(4\)个根;
则正确的命题有 _______________。①③④
【法1】:从里向外分析,重新配图;得空整理;
对于命题①而言,复合函数为\(f[g(x)]\);为什么如下选择区间?理由1
在\([-2,x_0]\)上,\(f[g(x)]\nearrow\),\(f[g(-2)]=f(-2)=-2\),\(f[g(x_0)]=f(-1)=1\),其中\(g(x_0)=-1\);
在\([x_0,x_1]\)上,\(f[g(x)]\searrow\),\(f[g(x_1)]=f(0)=0\),其中\(g(x_1)=0\);
在\([x_1,x_2]\)上,\(f[g(x)]\searrow\),\(f[g(x_2)]=f(1)=-1\),其中\(g(x_2)=1\);
在\([x_2,-1]\)上,\(f[g(x)]\nearrow\),\(f[g(-1)]=f(2)=2\);

在\([-1,0]\)上,\(f[g(x)]\searrow\),\(f[g(0)]=f(1)=-1\);图中未说明,假定\(g(0)=1\);
在\([0,1]\)上,\(f[g(x)]\nearrow\),\(f[g(1)]=f(-0.3)=0.4\);\(g(1)=-0.3\),\(f(-0.3)=0.4\)为估算值;
在\([1,x_3]\)上,\(f[g(x)]\nearrow\),\(f[g(x_3)]=f(-1)=1\),其中\(g(x_3)=-1\);
在\([x_3,2]\)上,\(f[g(x)]\searrow\),\(f[g(2)]=f(-2)=-2\);
根据上述函数值,做出函数图像,由图像可知方程\(f[g(x)]=0\)有且仅有\(6\)个根;故①正确;
对于命题②而言,复合函数为\(g[f(x)]\);
在\([-2,x_4]\)上,\(g[f(x)]\nearrow\),\(g[f(-2)]=g(-2)=-2\),\(g[f(x_4)]=g(-1)=2\),其中\(f(x_4)=-1\);
在\([x_4,x_5]\)上,\(g[f(x)]\searrow\),\(g[f(x_5)]=g(0)=1\),其中\(f(x_5)=0\);
在\([x_5,-1]\)上,\(g[f(x)]\searrow\),\(g[f(-1)]=g(1)=-0.3\);

在\([-1,0]\)上,\(g[f(x)]\nearrow\),\(g[f(0)]=g(0)=1\);
在\([0,1]\)上,\(g[f(x)]\nearrow\),\(g[f(1)]=g(-1)=2\);
在\([1,x_6]\)上,\(g[f(x)]\searrow\),\(g[f(x_6)]=g(1)=0\),其中\(f(x_6)=1\);
在\([x_6,2]\)上,\(f[g(x)]\searrow\),\(g[f(2)]=g(2)=-2\);
根据上述函数值,做出函数图像,由图像可知方程\(g[f(x)]=0\)有且仅有\(4\)个根;故②错误;
对于命题③而言,复合函数为\(f[f(x)]\);
在\([-2,x_4]\)上,\(f[f(x)]\nearrow\),\(f[f(-2)]=f(-2)=-2\),\(f[f(x_4)]=f(-1)=1\),其中\(f(x_4)=-1\);
在\([x_4,x_5]\)上,\(f[f(x)]\searrow\),\(f[f(x_5)]=f(0)=0\),其中\(f(x_5)=0\);
在\([x_5,-1]\)上,\(f[f(x)]\searrow\),\(f[f(-1)]=f(1)=-1\);

在\([-1,0]\)上,\(f[f(x)]\nearrow\),\(f[f(0)]=f(0)=0\);
在\([0,1]\)上,\(f[f(x)]\nearrow\),\(f[f(1)]=f(-1)=1\);
在\([1,x_6]\)上,\(f[f(x)]\searrow\),\(f[f(x_6)]=f(1)=-1\),其中\(f(x_6)=1\);
在\([x_6,2]\)上,\(f[f(x)]\nearrow\),\(f[f(2)]=f(2)=2\);
根据上述函数值,做出函数图像,由图像可知方程\(f[f(x)]=0\)有且仅有\(5\)个根;故③正确;
对于命题④而言,复合函数为\(g[g(x)]\);
在\([-2,x_0]\)上,\(g[g(x)]\nearrow\),\(g[g(-2)]=g(-2)=-2\),\(g[g(x_0)]=g(-1)=2\),其中\(g(x_0)=-1\);
在\([x_0,x_1]\)上,\(g[g(x)]\searrow\),\(g[g(x_1)]=f(0)=0\),其中\(g(x_1)=0\);
在\([x_1,x_2]\)上,\(g[g(x)]\searrow\),\(g[g(x_2)]=g(1)=-0.3\),其中\(g(x_2)=1\);
在\([x_2,-1]\)上,\(g[g(x)]\searrow\),\(g[g(-1)]=g(2)=-2\);

在\([-1,0]\)上,\(g[g(x)]\nearrow\),\(g[g(0)]=g(1)=0\);
在\([0,1]\)上,\(g[g(x)]\nearrow\),\(g[g(1)]=g(0)=1\);
在\([1,x_3]\)上,\(g[g(x)]\nearrow\),\(g[g(x_3)]=g(-1)=2\),其中\(g(x_3)=-1\);
在\([x_3,2]\)上,\(g[g(x)]\searrow\),\(g[g(2)]=f(-2)=-2\);
根据上述函数值,做出函数图像,由图像可知方程\(g[g(x)]=0\)有且仅有\(4\)个根;故④正确;
综上所述,正确的命题有①③④。
法2:从外向里分析,由图像可知,\(-2\leqslant g(x)\leqslant 2\),\(-2\leqslant f(x)\leqslant 2\),
对于命题①而言,由于满足方程\(f[g(x)]=0\)的\(g(x)\)有\(3\)个不同值,由于每个值\(g(x)\)又对应了\(2\)个\(x\)值,故满足\(f[g(x)]=0\)的\(x\)值有\(6\)个,即方程\(f[g(x)]=0\)有且仅有\(6\)个根,故命题①正确;

[图像使用方法说明]:由\(y=f(x)\)的图像可以看出,使得\(f(x)=0\)的三个零点值分别为\(x_1=-1.6\),\(x_2=0\),\(x_3=1.6\)[估算],
在函数\(y=g(x)\)的图像中,分别做直线\(g(x)=-1.6\),\(g(x)=0\),\(g(x)=1.6\),每一条直线和函数\(y=g(x)\)都有\(2\)个交点,故共有\(6\)个交点。
对于命题②而言,由于满足方程\(g[f(x)]=0\)的\(f(x)\)有\(2\)个不同值,从图中可知,每一个值\(f(x)\),一个\(f(x)\)的值在\((-2,-1)\)上,另一个\(f(x)\)的值在\((0,1)\)上,当\(f(x)\)的值在\((-2,-1)\)上时,原方程有一个解;当\(f(x)\)的值在\((0,1)\)上时,原方程有\(3\)个解,故满足\(g[f(x)]=0\)的\(x\)值有\(4\)个,即方程\(g[f(x)]=0\)有且仅有\(4\)个根,故命题②不正确;

对于命题③而言,由于满足方程\(f[f(x)]=0\)的\(f(x)\)有\(3\)个不同值,从图中可知,一个\(f(x)\)的值在\((-2,-1)\)上,一个\(f(x)\)的值为\(0\),另一个\(f(x)\)的值在\((1,2)\)上;当\(f(x)=0\)对应了\(3\)个不同的\(x\)值,当\(f(x)\)在\((-2,-1)\)上时,只对应一个\(x\)值;当\(f(x)\)的值在\((1,2)\)上时,也只对应一个\(x\)的值,故满足\(f[f(x)]=0\)的\(x\)值有\(5\)个,即方程\(f[f(x)]=0\)有且仅有\(5\)个根,故命题③正确;

对于命题④而言,由于满足方程\(g[g(x)]=0\)的\(g(x)\)有\(2\)个不同值,从图中可知,每个\(g(x)\)的值对应\(2\)个不同的\(x\)值,故满足\(g[g(x)]=0\)的\(x\)值有\(4\)个,即方程\(g[g(x)]=0\)有且仅有\(4\)个根,故命题④正确;

综上所述,正确的命题有①③④。
当我们先选择函数\(g(x)\)的区间为\([-2,-1]\)时,此时虽然能保证内函数\(g(x)\)单调递增,但是此时内函数的值域\(g(x)\in [-2,2]\),其投射到外函数\(f(x)\)上时,就放置到了外函数\(f(x)\)的定义域\([-2,2]\)内,此时外函数的单调性不唯一,说明我们一开始选取的内函数的研究区间\([-2,-1]\)有些大了,所以需要压缩;一直压缩到\([-2,x_0]\),其中\(g(x_0)=-1\),这时候内函数的值域\(g(x)\in [-2,-1]\),刚好投射到外函数的单调递增区间上,说明此时的区间选取是恰当合理的,其他的区间选取与此同理同法;?
原文:https://www.cnblogs.com/wanghai0666/p/10784510.html