迭代更新数学公式推导过程
1、牛顿法
首先对于有n个变量的函数的一阶导数为:

其次对于其二阶导数为:

之后关于目标函数的包含二阶导数的泰勒展开式为:

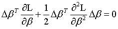
这时将
看成
的函数,则根据函数的最小值性质,当偏导数等于0时出取得,从而得到
,所以
,根据等式的特点得到,只有两者都取0时才能使等式等于0,所以得:
(最小值)






故牛顿法的迭代公式为:

2、梯度下降法
在开始推导之前,来介绍一下一个概念:梯度(当前函数位置的导数),同时它也表示某一函数在该点处的方向导数沿着该方向取得较大值。
梯度:
之后这里给出一阶泰勒展开式

由于
都是矢量,则
也是矢量,则根据矢量与向量的关系,这时我们可以用一个单位向量V(下一步将要变化的方向)与标量的乘积来表示:
,而
便是我们所说的步进长度。这时
表达式为:
又由我们的目的出发,所以可以我们希望通过这个迭代变化使
比
小,以此达到最小值。所以由公式
,当梯度方向
与
成反方向时,能最大程度的朝着局部下降的方向变化,使
取得最大值。根据
与
的数学关系,这时可以得出
与
的计算关系:
(一般情况,单位向量都是正向的)
与
(由于是标量,可以把它与步进长度合到一起)

故梯度下降法的迭代公式为:
原文:https://www.cnblogs.com/Justina/p/11624672.html