首页 > 其他 > 详细

正规文法与正规式

时间:2019-10-15 12:46:59      阅读:76      评论:0      收藏:0      [点我收藏+]

1.分别写出描述以下语言的正规文法和正规式:

L1={abna|n≥0}。

L2={ambn|n≥1,m ≥1}

L2={(ab)n|n≥1}

 技术分享图片

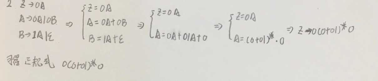
 2.将以下正规文法转换到正规式

Z→0A
A→0A|0B
B→1A|ε

 技术分享图片

修改:正规式为0(0|01)*0

Z→U0|V1
U→Z1|1
V→Z0|0

 技术分享图片

S→aA
A→bA|aB|b
B→aA

 技术分享图片

I→l|Il|Id

技术分享图片

正规文法与正规式

原文:https://www.cnblogs.com/miaoxiaowen/p/11676599.html

(0)
(0)
   
举报
评论 一句话评论(0
关于我们 - 联系我们 - 留言反馈 - 联系我们:wmxa8@hotmail.com
© 2014 bubuko.com 版权所有
打开技术之扣,分享程序人生!