现在要对这N个结点依次进行
染色,每个结点染色要花费1个单位的时候,同时要满足一个结点仅在其
父亲被染色后才可被染色,每个结点有个权值Ci,如果我们在第Ti时间对
i号结点染色,则付出总代价为Sigma(Ti * Ci),1 <= i <= N。
现在认为这个树和每个点的权值,请构造一种染色顺序,使总代价最小。
本人水平有限,题解不到为处,请多多谅解
本蒟蒻谢谢大家观看
题目:传送门
翻译如下
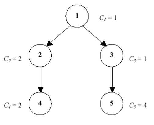
5 1
1 2 1 2 4
1 2
1 3
2 4
3 5
0 0
33

本题是一道合并类贪心,我们首先通过样例分析可知,一定要先染色完数值大的点,显然要贪心。
我们可以把大点向其父亲节点传递
不断找单位时间内值最大的点,即val[i]/tim[i]要最大
统计ans时,用当前点的值乘*其父亲节点的时间(时间已经累加到父亲节点上)
累加完当前节点的val之后记得要清零,防止重复累加

我们要首先把所有点都染色一次,因为我们初始时间为1,在后面的统计中时间不会为1,所以其之前为时间1的值没有累加
code:
1 #include<bits/stdc++.h> 2 #pragma GCC optimize(3) 3 const int N=1e5+10; 4 using namespace std; 5 int n,R,ans; 6 int fa[N],val[N]; 7 double tim[N]; 8 inline int read(){ 9 int x=0,f=1;char ch=getchar(); 10 while(!isdigit(ch)){if(ch==‘-‘)f=-1;ch=getchar();} 11 while(isdigit(ch)){x=(x<<1)+(x<<3)+(ch^48);ch=getchar();} 12 return x*f; 13 } 14 inline void write(int x){ 15 char F[200]; 16 int tmp=x>0?x:-x ; 17 if(x<0)putchar(‘-‘) ; 18 int cnt=0 ; 19 while(tmp>0) 20 { 21 F[cnt++]=tmp%10+‘0‘; 22 tmp/=10; 23 } 24 while(cnt>0)putchar(F[--cnt]) ; 25 } 26 int main() 27 { 28 while(n=read(),R=read()){ 29 ans=0; 30 memset(fa,0,sizeof fa); 31 memset(tim,0,sizeof tim); 32 memset(val,0,sizeof val); 33 if(n==0&&R==0)return 0; 34 for(int i=1;i<=n;i++){ 35 val[i]=read(); 36 ans+=val[i]; 37 tim[i]=1; 38 } 39 for(int i=1;i<n;i++){ 40 int a,b; 41 a=read(),b=read(); 42 fa[b]=a; 43 } 44 for(int i=1;i<n;i++){ 45 double sum=0; 46 int id; 47 for(int i=1;i<=n;i++){ 48 if((double(val[i]/tim[i]>sum))&&(i!=R)){ 49 sum=(double)val[i]/tim[i]; 50 id=i; 51 } 52 } 53 for(int i=1;i<=n;i++){ 54 if(fa[i]==id){ 55 fa[i]=fa[id]; 56 } 57 } 58 ans+=tim[fa[id]]*val[id]; 59 tim[fa[id]]+=tim[id]; 60 val[fa[id]]+=val[id]; 61 val[id]=0; 62 } 63 printf("%d\n",ans); 64 } 65 return 0; 66 }
注意:因为有多组数据,所以要初始化为0,存时间的数组类型要有double ,防止舍去了小数位,导致与标准数据相差1。
原文:https://www.cnblogs.com/nlyzl/p/11706920.html