首页 > 其他 > 详细

algorithmic analysis

时间:2019-10-21 10:12:50      阅读:73      评论:0      收藏:0      [点我收藏+]

1. asymptotic analysis: 随着input的增加,成本规模的变化, 可以参照9024之前讲过的

分别考虑每一步所带来的成本; 

考虑最坏的情况(如遍历寻找某一个值时,需要假设这个值在列表的最后面);

2. 技术分享图片

 

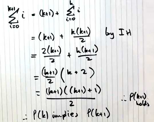
3. mathematical induction

 技术分享图片

4. example of mathematical induction

技术分享图片

技术分享图片

 技术分享图片

 技术分享图片

 

algorithmic analysis

原文:https://www.cnblogs.com/eleni/p/11711388.html

(0)
(0)
   
举报
评论 一句话评论(0
关于我们 - 联系我们 - 留言反馈 - 联系我们:wmxa8@hotmail.com
© 2014 bubuko.com 版权所有
打开技术之扣,分享程序人生!