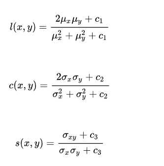
公式基于样本x和 y 之间的三个比较衡量:亮度 (luminance)、对比度 (contrast) 和结构 (structure)。


每次计算的时候都从图片上取一个 N*N的窗口,然后不断滑动窗口进行计算,最后取平均值作为全局的 SSIM。
【转载自】
图像质量评价指标之 PSNR 和 SSIM - 简书 https://www.jianshu.com/p/87e0f338673d
SSIM (Structural SIMilarity) 结构相似性
原文:https://www.cnblogs.com/wxl845235800/p/11731528.html