首页 > 其他 > 详细

2维图像旋转(转)

时间:2019-10-26 11:01:00      阅读:84      评论:0      收藏:0      [点我收藏+]

图像旋转的原理与实现

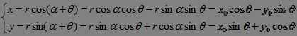
一般图像的旋转是以图像的中心为原点,旋转一定的角度,也就是将图像上的所有像素都旋转一个相同的角度。旋转后图像的的大小一般会改变,即可以把转出显示区域的图像截去,或者扩大图像范围来显示所有的图像。图像的旋转变换也可以用矩阵变换来表示。设点技术分享图片逆时针旋转技术分享图片角后的对应点为技术分享图片。那么,旋转前后点技术分享图片技术分享图片的坐标分别是:

技术分享图片                          (3-6)

技术分享图片  (3-7)

 

 

写成矩阵表达式为

技术分享图片            (3-8)

 

 

 

 

其逆运算为

技术分享图片            (3-9)

 

 

利用上述方法进行图像旋转时需要注意如下两点:

1)图像旋转之前,为了避免信息的丢失,一定要有坐标平移。

2)图像旋转之后,会出现许多空洞点。对这些空洞点必须进行填充处理,否则画面效果不好,一般也称这种操作为插值处理。

以上所讨论的旋转是绕坐标轴原点(0,0)进行的。如果图像旋转是绕一个指定点(a,b)旋转,则先要将坐标系平移到该点,再进行旋转,然后将旋转后的图象平移回原来的坐标原点,这实际上是图像的复合变换。如将一幅图像绕点(a,b)逆时针旋转技术分享图片度,首先将原点平移到(a,b),即

技术分享图片                        (3-10)

然后旋转

技术分享图片                 (3-11)

然后再平移回来

技术分享图片                        (3-12)

 

综上所述,变换矩阵为技术分享图片

附录:

1
2
3
4
5
6
7
8
9
10
11
12
13
14
15
16
17
18
19
20
21
22
23
24
25
26
27
28
29
30
31
32
33
34
35
36
37
38
39
40
41
42
43
44
45
46
47
48
49
B=imread(‘image1.bmp‘);
%读取原图像
[m,n]=size(B); %获取原图尺寸w
%参数设置
theta = pi/4;  %旋转角度
a = sin(theta);
b = cos(theta);
T = [cos(theta),sin(theta),;    %旋转矩阵
    -sin(theta),cos(theta)];
  
%建立存储空间
row=m+round((m)/2);
col=n+round((n)/2);
rotateima = zeros(row, col);  %存储旋转后图像的矩阵
  
%图像旋转        
for i=1:m                                      
    for j=1:n
        x=ceil(abs((i-round(m/2))*b-(j-round(n/2))*a+round(row/2)));  %坐标平移至中心
        y=ceil(abs((i-round(m/2))*a+(j-round(n/2))*b+round(col/2)));  %坐标平移至中心
        rotateima(x,y)=B(i,j);                   %未插值的图像
    end
end
nrotateima = uint8(rotateima);
imshow(nrotateima);
title(‘未插值的图像‘)
  
%图像插值(近邻插值法)
for i=1:row   
    for j=2:col-1      
               
            if(rotateima(i,j) == 0 && rotateima(i,j-1) ~= 0 && rotateima(i,j+1) ~= 0 )      
                rotateima(i,j) =rotateima(i,j-1) ;     
            
            end
    end
end
  
%图像显示
figure(1);
imshow(B)
title(‘原始图像‘);
% figure(2);
% imshow(nrotateima);
% title(‘未插值的图像‘);
figure(3);
imshow(rotateima/256);
imwrite(rotateima/256, ‘旋转后图像.jpg‘, ‘jpg‘);
title(‘旋转图‘);

  

原文地址:https://www.cnblogs.com/hustlx/p/5245226.html

2维图像旋转(转)

原文:https://www.cnblogs.com/canyeweiwei/p/11741890.html

(0)
(0)
   
举报
评论 一句话评论(0
分享档案
最新文章
教程昨日排行
关于我们 - 联系我们 - 留言反馈 - 联系我们:wmxa8@hotmail.com
© 2014 bubuko.com 版权所有
打开技术之扣,分享程序人生!