首页 > 其他 > 详细

《统计学习方法》笔记--朴素贝叶斯法

时间:2019-11-04 01:12:40      阅读:87      评论:0      收藏:0      [点我收藏+]

朴素贝叶斯(Naive Bayes)是基于贝叶斯定理与特征条件独立假设的分类方法。即对于给定的训练数据,首先基于特征条件独立假设学习输入输出联合概率分布,然后基于此模型,对给定输入的x,利用贝叶斯定理输出最大的后验概率y。

假设输入空间X,对应的输出空间Y为标记集合技术分享图片,而且在这些数据集中先验分布概率为:技术分享图片,条件分布概率为:技术分享图片

然而,对于条件分布概率技术分享图片,其每个技术分享图片技术分享图片种取值,且输出空间Y的标记也有K种取值,那么条件分布概率的计算将有指数个参数需要参与。如此庞大的参数规模可能致使条件分布概率变为不可能。

对此,朴素贝叶斯法对条件分布概率做了条件独立性的假设,使技术分享图片变为技术分享图片,让条件概率计算的参数分布到各个独立性条件概率的计算上。

接着对应的输入X=x的输出标记分类技术分享图片,可由计算后验概率,得到的输入X=x和输出标记分类技术分享图片最大的后验概率技术分享图片可判断,输入x的对应标记分类类别。后验概率的计算根据利用朴素贝叶斯法的贝叶斯定理进行:

技术分享图片

在上述的计算公式中,由于分母是相同的,故可以对公式做进一步的简化:

技术分享图片

算法流程:

输入:训练数据技术分享图片,其中技术分享图片技术分享图片是第i个样本的第j个特征,技术分享图片技术分享图片是第j个特征可能取的第技术分享图片个值,技术分享图片;实例x;

(计算的过程中,用极大似然估计可能会出所要估计的概率为0的情况,而这会影响到后验概率的计算结果,使的实例x的分类结果产生偏差。为了消除差,采用贝叶斯估计)

输出:实例x的分类

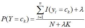
  1. 如果有先验概率,直接输入;没有则根据贝叶斯估计计算先验概率:

    技术分享图片

  2. 同样利用贝叶斯估计分别计算第k个分类条件下,第j个特征可能取第技术分享图片个值的条件概率:

    技术分享图片

  3. 对实例x分别计算:

    技术分享图片

     然后选取其中计算结果最大的一个便能判别实例x对应y的分类类别。

    ?

    朴素贝叶斯的主要优点有:

    1)朴素贝叶斯模型发源于古典数学理论,有稳定的分类效率。

    2)对小规模的数据表现很好,能个处理多分类任务,适合增量式训练,尤其是数据量超出内存时,我们可以一批批的去增量训练。

    3)对缺失数据不太敏感,算法也比较简单,常用于文本分类。

    ?

    主要缺点有:   

    1) 理论上,朴素贝叶斯模型与其他分类方法相比具有最小的误差率。但是实际上并非总是如此,这是因为朴素贝叶斯模型给定输出类别的情况下,假设属性之间相互独立,这个假设在实际应用中往往是不成立的,在属性个数比较多或者属性之间相关性较大时,分类效果不好。而在属性相关性较小时,朴素贝叶斯性能最为良好。对于这一点,有半朴素贝叶斯之类的算法通过考虑部分关联性适度改进。

    2)需要知道先验概率,且先验概率很多时候取决于假设,假设的模型可以有很多种,因此在某些时候会由于假设的先验模型的原因导致预测效果不佳。

    3)由于我们是通过先验和数据来决定后验的概率从而决定分类,所以分类决策存在一定的错误率。

    4)对输入数据的表达形式很敏感。

《统计学习方法》笔记--朴素贝叶斯法

原文:https://www.cnblogs.com/lincz/p/11789824.html

(0)
(0)
   
举报
评论 一句话评论(0
关于我们 - 联系我们 - 留言反馈 - 联系我们:wmxa8@hotmail.com
© 2014 bubuko.com 版权所有
打开技术之扣,分享程序人生!