首页 > 其他 > 详细

10.3群,群直积,商群

时间:2019-11-15 19:20:38      阅读:197      评论:0      收藏:0      [点我收藏+]

群,群直积,商群

群(Groups)

如果独异点(G, *)中的每个元素均存在逆元(必定是唯一的),那么它便升级为群

集合S + 二元运算(自带封闭性) -> (G, ),如果(G, )满足结合律,那么(G, )升级为半群 -> (G, )存在单位元e(必定是唯一的),那么(G, )升级为独异点 -> (G, )中每个元素存在逆元(必定是唯一的),那么(G, *)升级为群

阿贝尔群(Abelian)

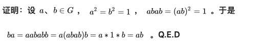
群G中任意两个元素a,b∈G,均满足阿贝尔律(交换律):ab = ba,那么群G升级为阿贝尔群

如:证明(G, *)是阿贝尔群

  1. 证明*对于G是一个二元运算(证明封闭性)
  2. 证明结合律
  3. 找出单位元
  4. 找出逆元
  5. 证明交换律
    技术分享图片
    技术分享图片
    技术分享图片

定理1:

逆元存在必唯一(显然)

技术分享图片

定理2:

群G具有消去律(Witt律),包括左消去律和右消去律

技术分享图片

定理3:

群G中满足:

  • \((a^{-1})^{-1} = a.\)
  • \((ab)^{-1} = b^{-1}a^{-1}\)

技术分享图片

定理4:

如果G是群,a,b是群G中的元素,那么:

方程\(ax = b\)只有G中的唯一解
方程\(ya = b\)只有G中的唯一解

有限群(Finte Group)

群G中元素如果是有限的,则称为有限群,其中G的元素称为G的阶(order),记为|G|
显然,有限群能通过乘法表表示,或者说能用乘法表表示的群都是有限群

一个重要的群--n次对称群

置换:

技术分享图片
技术分享图片

通过轮换概念,我们可以知道置换也是群(但没必要)

对称群(symmetric group on n letters)

对称群是指含置换群为子类的一类具体的有限群

对于集合X上的双射: f: X -> X(也就是置换)

当X为有限集合时,置换的复合运算和(二元运算)部分置换操作(元素)构成了对称群,如:
技术分享图片

下给出\(S_3\):
技术分享图片

Note:n次对称群的阶为n!

子群(Subgroup)

令H是群G的一个子集,如果H满足群定义,那么H就是G的子群

\(H_1 = \{e\}, H_2 = G\)显然也是群,我们称这两个群为G的平凡子群(trivial subgroup)

G的生成群是除平凡子群外最简单的生成群(显然)
技术分享图片

定理5:

设有群(G, )和群(G‘, ‘),并且有同态映射f:G -> G‘,那么:

(a). 如果e是G的幺元,e‘是G‘的幺元,那么f(e) = e‘
(b). 如果a∈G,那么\(f(a^{-1}) = (f(a))^{-1}\)
(c). 如果H是G的子群,那么f(H) = {f(h)|h∈H}也是G‘的子群
技术分享图片
技术分享图片
技术分享图片

Note:同构映射(isomorphism)会保持根据二元运算定义的所有性质(可以运用此性质来反证两个群不是同构)

如群\(S_3\)\(Z_6\)都是阶为6的群,但前者不是Abelian,而后者是,故二者不同构

克莱因四元群(Klein 4 group)

表示:Klein = {e, a, b, ab};
克莱因群的所有元素都2阶的,克莱因四元群是最小的非循环群。然而,它又是一个阿贝尔群

技术分享图片

循环群(cyclic group)

定义:循环群。由一个元素反复运算生成的群\(G = \{a^n | n ∈ Z \}\)称为循环群,简记为,a称为这个循环群的生成元。

Note:

  1. 循环群都是阿贝尔群,并且循环群的任意子群也是阿贝尔群
  2. 循环群G中的任意元素都是G或G的子群A的生成元。
    技术分享图片
  1. 群G的元素a的阶,是指由元素a生成的G的生成子群的阶,有:若群G中每一个非幺元素的阶均为2,则G是Abel群
    技术分享图片
  1. Lagrange定理:设G为有限群,则G中每个元素g的阶均是|G|的因子;若G有子群,则任意子群A的阶都是|G|的因子。
  2. p(素数)阶群G均是Abel群,并且同构于\(Z_p\)
    技术分享图片
  1. 可见,4阶群都是Abel群

群直积和商群(Products and Quotients of Groups)

定理1:群直积

由群\(G_1和群G_2\)的乘积得到的群是群直积,且定义为:

\((a_1, b_1)(a_2, b_2) = (a_1a_2, b_1b_2)\)

证明和半群直积证明类似

设群\(G_1和群G_2\)都是mod2加法群\(Z_2\)(假设我们令0和1来表示等价类[0]和[1]),那么其乘积群G的乘法表如下:

技术分享图片

如果我们通过如下定义函数,可以得到乘积群G和V/\(Z_4\)(唯二阶为4的群)同构:

技术分享图片

NOTE

更一般的,我们可以得到如下:
技术分享图片

定理2:商群

和商半群类似,通过定义在群G上的同余关系R和二元运算 口,我们能得到商半群(G/R, 口), 其中二元运算 口 被定义为:

  • [a] 口 [b] = [a*b]

只需证明其有逆元即可
技术分享图片

推论1:

显然函数\(f_R(a) = [a]:G -> G/R\)是一个群同态
推论2:

陪集(coset)

定义:设H是群G的一个子集,a∈G,则集合aH(Ha)称为由a所确定的H在G中的左配集(右陪集),简称为H关于a的左陪集(右陪集),元素a称为陪集aH(Ha)的代表元素。
如果对于任何a∈G,均有aH = Ha,那么子群H称为G的正规子群

Waring:Ha = aH并不代表对于所有的h∈H,ha=ah均成立
意思是存在h,h‘∈H,使得ha = ah‘

如果H是G的子群,那么如果元素a∈H,就有:aH = H

证明:
技术分享图片

EXP(求全部元素关于子群H的左陪集):

技术分享图片

技术分享图片

Note:由这个例子,我们可以清晰的看到:对于任意a,b∈G,aH = bH或者aH ∩ bH = ? (右陪集同理)==》 通过子群H,我们就像同余关系一样对G中的元素进行了划分,那么我们可以以此为基础来构造商集

定理3:

设R是群G上的同余关系,H = [e]显然是群G的一个子群,那么:

对于任意a∈G,均有:[a] = aH = Ha,即H是G的正规子群

技术分享图片

技术分享图片

通过定理3和推论1,我们可以通过正规子群N = [e]的所有陪集来进行构建商集,其中,二元运算定义为:

(aN)(bN) = [a] 口 [b] = [ab] = abN

同时有函数\(f_R: G -> G/R\),定义为:

\(f_R(a) = aN\)

显然,\(f_R\)是从G到G/R的同态,我们也经常写成G/N

定理4:

设G的正规子群N,设定义在G上的关系R:

  • a R b 当且仅当 \(a^{-1}b\)∈ N

那么有:

(a). R是G上的同余关系
(b). N是在R关系中的等价类[e]

技术分享图片

技术分享图片

技术分享图片

可见,群G上的同余关系,正规子群H和G -> G/R(或G‘)的同态映射是等价的

推论2:

设同态映射f:G -> G‘,那么f的核(kernel),记为ker(f),定义为:ker(f) = {a ∈ G|f(a) = e‘},那么:

  1. ker(f)是G的正规子群
  2. 商群G/ker(f)和G‘同构

EXP:

\(f: Z -> Z_n\)定义为:f(m) = [r], 其中r = m%n, 那么ker(f) = nZ

10.3群,群直积,商群

原文:https://www.cnblogs.com/SpicyArticle/p/11868785.html

(0)
(0)
   
举报
评论 一句话评论(0
关于我们 - 联系我们 - 留言反馈 - 联系我们:wmxa8@hotmail.com
© 2014 bubuko.com 版权所有
打开技术之扣,分享程序人生!