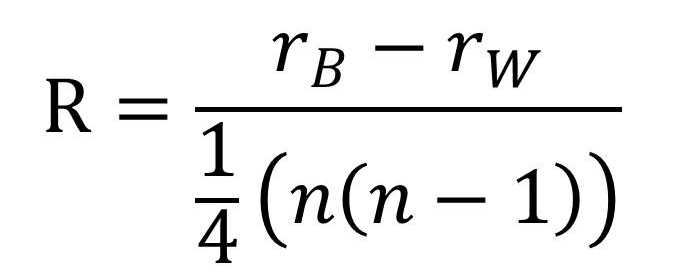
rB:组间差异性秩的平均值(mean rank of between group dissimilarities)
rW:组内差异性秩的平均值(mean rank of within group dissimilarities)
n:总样本个数(the number of samples)
R的范围为[-1,1]
R>0说明组间差异大于组内差异,R<0组间差异小于组内差异。
R只是组间是否有差异的数值表示,并不提供显著性说明。
P值则说明不同组间差异是否显著,该P值通过置换检验(Permutation Test)获得。
置换检验大致原理:(假设原始分组为实验组和对照组)
1、对所有样本进行随机分组,即实验组和对照组。
2、计算当前分组时的R值,即为Ri。
3、重复当前操作N次,对所有Ri及原始R从大到小排序,R所处的位置除以N即为置换检验P值。
举例说明:
比如我们有case和control两组(Group1 和Group 2),数据如下:
首先需要对样本进行相似性计算,得到如下相似性矩阵:
然后计算相似性秩(即从小到大排序),如此便把相似性矩阵转换为秩矩阵:
接着计算组内平均秩和组间平均秩,rW=13.08,rb = 15.56,如此R=(15.56-13.08)/(0.25*8*7) = 0.17
利用置换检验的方法计算p值,如下的方法重复1000次, rb= 14.06,rw = 15.08
根据1000次随机后获得的Ri与R进行排序,获得P值。
可以使用R语言进行ANOSIM分析,使用的R包为vegan,函数为anosim。
其帮助文档提供的程序为:
data(dune)
data(dune.env)
dune.dist <- vegdist(dune)
dune.ano <- with(dune.env, anosim(dune.dist, Management))
summary(dune.ano)
plot(dune.ano)
summary(dune.ano)结果为:

plot画出的图形为:

不难看出,图中箱子为summary结果中的Dissimilarity ranks between and within classes的可视化,即组间差异秩分布和组内差异秩分布(下图中的数值分布)。

(致谢:以上内容参考 博文 http://www.360doc.com/content/18/0113/21/33459258_721682039.shtml )