损失函数: J(w)
w的梯度将是损失函数上升最快的方向,最小化loss ,反向即可 J(w_old) ---->J(w_old- k * ▽w_old的梯度)---->J(w_new)
方法 : 主要区别是每一次更新样本参数使用的样本个数是不同的
批量梯度下降
使用全部数据进行参数更新
w = w-k * ▽J(w)
for i in range(nb_epochs):
params_grad = evaluate_gradient(loss_function,data,params)
params = params - learning_rate * pramas_grad 每次更新梯度使用全部数据 ,最后梯度可为0
随机梯度下降
w = w - k * ▽ J(w;xi;yi)
使用一个样本更新模型,速度快
for i in range(nb_epochs):
np.random.shuffle(data)
for example in data:
params_grad = evalute_gradient(loss_function,example,params)
params = params - leaning_rate * params_grad学习率需要逐渐减少,否则无法收敛
小批量梯度下降
w = w - k * ▽J(w;xi:i+m;yi:i+m) 每次更新从训练集选取m个样本学习 m小于总体个数
for i in range(pb_epochs):
np.random.shuffle(data)
for batch in get_batch(data,batch_size=50):
params_grad = evalute_gradient(loss_function,batch,params)
params = params - leaning_rate * params_gradSGD
Momentum
基于动量的算法
前几次的梯度会参与到本次梯度的计算
原来:w = w - learning_rate * dw
现在:
v = alpha * v - learning_rate *dw
w = w+v
v 是初始速度,alpha是指数衰减系数,也叫作动量参数 常见设置为0.9
理解为 上次梯度与这次相同,那么下次下降速度幅度会加大,从而加速收敛
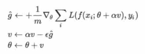
Nesterov Momentum
先对参数进行估计,然后使用估计后的参数来计算误差
学习率ε 初始参数 θ 初始速率v 栋梁衰减参数 α
过程:
从训练集中随机抽取m个样本,及他们的标签
计算梯度和误差 ,跟新速度v和参数α

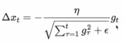
AdaGrad

RMSProp
Adam

学习率的设定
global_step = tf.Variable(0,trainble=False)
starter_learning = 0.1 # 初始学习率为0.1
# 每隔10000次学习率变为原来的0.96
learning_rate = tf.exponential_dacay(starter_learning_rate, global_setp,10000,0.96,staircase=True)
optimizer = tf.GradientDescent(learning_rate)
optimizer.minimize(...my_loss...,global_step=global_setp)原文:https://www.cnblogs.com/Dean0731/p/12044007.html