在高中生物上,我们就学习过关于遗传变异、自然选择的知识,自然选择的原则是优胜劣汰、适者生存,有性繁殖则可以不断使基因进行混合和重组,因此自然选择和有性生殖实际上是生物体的优化过程,正是这种优化过程的不断进行才导致了生物的进化。
遗传算法(GA)就是人们从生物界按自然选择和有性生殖、遗传变异的自然进化现象中得到启发,而设计出来的一种优化搜索算法。
博主学习遗传算法算是一种被动学习,就是听老师讲课,后来看了几篇知乎,发现大佬们写的入门文章通俗易懂,这里附上链接:
https://www.zhihu.com/question/23293449?utm_source=qq&utm_medium=social&utm_oi=875107575870418944
适应度(fitness)就是借鉴生物个体对环境的适应程度, 而对所求解问题中的对象设计的一种表征优劣的测度。适应度函数(fitness function)就是问题中的全体对象与其适应度之间的一个对应关系, 即对象集合到适应度集合的一个映射。 它一般是定义在论域空间上的一个实数值函数。
遗传算法以生物细胞中的染色体(chromosome)代表问题中的个体对象。而一个染色体可以看作是由若干基因组成的位串, 所以需要将问题中的个体对象编码为某种位串的形式。这样,原个体对象也就相当于生命科学中所称的生物体的表现型(phenotype), 而其编码即“染色体”也就相当于生物体的基因型(genotype)。遗传算法中染色体一般用字符串表示, 而基因也就是字符串中的一个个字符。例如,假设数字9是某问题中的个体对象, 则我们就可以用它的二进制数串1001作为它的染色体编码。
种群(population)就是模拟生物种群而由若干个染色体组成的群体, 它一般是整个论域空间的一个很小的子集。 遗传算法就是通过在种群上实施所称的遗传操作,使其不断更新换代而实现对整个论域空间的搜索。
遗传算法中有三种关于染色体的运算: 选择-复制、交叉和变异,这三种运算被称为遗传操作或遗传算子(genetic operator)。
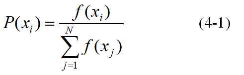
选择-复制(selection reproduction)操作是模拟生物界优胜劣汰的自然选择法则的一种染色体运算, 就是从种群中选择适应度较高的染色体进行复制,以生成下一代种群。选择-复制的通常做法是, 对于一个规模为N的种群S,按每个染色体xi∈S的选择概率P(xi)所决定的选中机会, 分N次从S中随机选定N个染色体, 并进行复制。 这里的选择概率P(xi)的计算公式为 
其中,f为适应度函数,f(xi)为xi的适应度。可以看出, 染色体xi被选中的概率就是其适应度f(xi)所占种群中全体染色体适应度之和的比例。 显然, 按照这种选择概率定义, 适应度越高的染色体被随机选定的概率就越大, 被选中的次数也就越多, 从而被复制的次数也就越多。相反,适应度越低的染色体被选中的次数也就越少,从而被复制的次数也就越少。如果把复制看做染色体的一次换代的话,则这就意味着适应度越高的染色体其后代也就越多,适应度越低的染色体其后代也就越少, 甚至被淘汰。 这正吻合了优胜劣汰的自然选择法则。
上述按概率选择的方法可用一种称为赌轮的原理来实现。 即做一个单位圆, 然后按各个染色体的选择概率将圆面划分为相应的扇形区域(如图4-1所示)。这样, 每次选择时先转动轮盘, 当轮盘静止时,上方的指针所正对着的扇区即为选中的扇区,从而相应的染色体即为所选定的染色体。 例如, 假设种群S中有4个染色体: s1,s2, s3, s4,其选择概率依次为: 0.11, 0.45, 0.29, 0.15, 则它们在轮盘上所占的份额如图4-1中的各扇形区域所示。 
在算法中赌轮选择法可用下面的子过程来模拟:
① 在[0, 1]区间内产生一个均匀分布的伪随机数r。
② 若r≤q1,则染色体x1被选中。
③ 若qk-1<r≤qk(2≤k≤N), 则染色体xk被选中。
其中的qi称为染色体xi(i=1, 2, …, n)的积累概率, 其计算公式为 
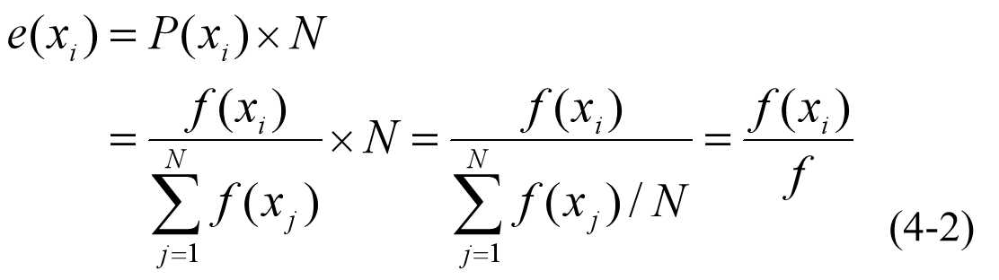
一个染色体xi被选中的次数, 也可以用下面的期望值e(xi)来确定。 
交叉 (crossover)亦称交换、交配或杂交,就是互换两个染色体某些位上的基因。例如,设染色体s1=01001011, s2=10010101, 交换其后4位基因, 即 
则得新串s1′=01000101,s2′=10011011。s1′和s2′可以看做是原染色体s1和s2的子代染色体。
变异(mutation)亦称突变,就是改变染色体某个(些)位上的基因。例如,把染色体s=11001101的第三位上的0变为1, 则得到新染色体s′=11101101。
简单来讲, 遗传算法就是对种群中的染色体反复做三种遗传操作, 使其朝着适应度增高的方向不断更新换代, 直至出现了适应度满足目标条件的染色体为止。遗传算法的基本框架如图4-2所示。
在算法的具体步骤中, 还需给出若干控制参数, 如种群规模、最大换代数、交叉率和变异率等等。
——种群规模就是种群的大小, 用染色体的个数表示。
——最大换代数就是算法中种群更新换代的上限, 它也是算法终止的一个条件。
——交叉率(crossover rate)就是参加交叉运算的染色体个数占全体染色体总数的比例,记为Pc,取值范围一般为0.4~0.99。由于生物繁殖时染色体的交叉是按一定的概率发生的, 因此参加交叉操作的染色体也有一定的比例, 而交叉率也就是交叉概率。
——变异率(mutation rate)是指发生变异的基因位数所占全体染色体的基因总位数的比例,记为Pm,取值范围一般为0.0001~0.1。由于在生物的繁衍进化过程中, 变异也是按一定的概率发生的, 而且发生概率一般很小, 因此变异率也就是变异概率。

基本遗传算法:
步1 在论域空间U上定义一个适应度函数f(x),给定种群规模N,交叉率Pc和变异率Pm,代数T;
步2 随机产生U中的N个染色体s1, s2, …, sN,组成初始种群S={s1, s2, …, sN},置代数计数器t=1;
步3 计算S中每个染色体的适应度f() ;
步4 若终止条件满足,则取S中适应度最大的染色体作为所求结果,算法结束。
步5 按选择概率P(xi)所决定的选中机会,每次从S中随机选定1个染色体并将其复制,共做N次,然后将复制所得的N个染色体组成群体S1;
步6 按交叉率Pc所决定的参加交叉的染色体数c,从S1中随机确定c个染色体,配对进行交叉操作,并用产生的新染色体代替原染色体,得群体S2;
步7 按变异率Pm所决定的变异次数m,从S2中随机确定m个染色体,分别进行变异操作,并用产生的新染色体代替原染色体,得群体S3;
步8 将群体S3作为新一代种群,即用S3代替S,t=t+1,转步3;
需要说明的是, 遗传算法的具体表述在各个文献中并不太一致, 本书给出的这一表述, 只是遗传算法的基本步骤, 所以我们称其为基本遗传算法。 该算法描述与所称的简单遗传算法 (Simple Genetic Algorithm, SGA)基本一致。简单遗传算法是D. J. Goldberg总结出的一种统一的最基本的遗传算法。在简单遗传算法的基础上, 现在已派生出遗传算法的许多变形, 可以说已形成了一个遗传算法家族。
在应用遗传算法解决实际问题时, 还需给出结构模式的表示方案、适应度的计算方法、终止条件等。表示方案通常是把问题的搜索空间的每一个可能的点,编码为一个看做染色体的字符串, 字符通常采用二进制数0、1。适应度的计算方法一般根据实际问题而定。
利用遗传算法求解区间[0,31]上的二次函数y=x2的最大值。
分析 可以看出,只要能在区间[0,31]中找到函数值最大的点a,则函数y=x2的最大值也就可以求得。于是, 原问题转化为在区间[0, 31]中寻找能使y取最大值的点a的问题。显然, 对于这个问题, 任一点x∈[0, 31]都是可能解, 而函数值f(x)= x2也就是衡量x能否为最佳解的一种测度。那么,用遗传算法的眼光来看, 区间[0, 31]就是一个(解)空间,x就是其中的个体对象, 函数值f(x)恰好就可以作为x的适应度。这样, 只要能给出个体x的适当染色体编码, 该问题就可以用遗传算法来解决。
解:
(1) 定义适应度函数,编码染色体。由上面的分析,函数f(x)=x2就可作为空间U上的适应度函数。显然y=x2是一个单调增函数,其取最大值的点x=31是个整数。另一方面, 5位二进制数也刚好能表示区间[0, 31]中的全部整数。所以, 我们就仅取[0,31]中的整数来作为参加进化的个体,并且用5位二进制数作为个体x的基因型编码, 即染色体。
(2) 设定种群规模, 产生初始种群。我们将种群规模设定为4,取染色体s1=01101(13),s2=11000(24),s3=01000(8), s4=10011(19)组成初始种群S1。
(3) 计算各代种群中的各染色体的适应度, 并进行遗传操作,直到适应度最高的染色体(该问题中显然为“11111”=31)出现为止。
计算S1中各染色体的适应度、选择概率、积累概率等并列于表4.1中。
表 4.1 第一代种群S1中各染色体的情况 
这里对表中的几个表项进行说明
适应度是通过适应函数算出来的,这里f(x)= x2是适应函数,选择概率则是适应度所占的比率,累计概率则是选择概率的累计,在这里会碰到计算出小数的问题,尽量使用四舍五入,同时也要保证最后的积累概率为1,估计被选次数则是染色体被选择的期望e(xi)=(pi)*N,注意这里是向上取整。
选择-复制
设从区间[0, 1]中产生4个随机数如下:
r1=0.450126, r2=0.110347, r3=0.572496, r4=0.98503
按赌轮选择法,染色体s1, s2, s3, s4的被选中次数依次为:1, 2, 0, 1。于是,经复制得群体:
s1’=11000(24), s2’=01101(13), s3’=11000(24), s4’=10011(19)
可以看出,在第一轮选择中适应度最高的染交叉 设交叉率pc=100%,即S1中的全体染色体都参加交叉运算。设s1’与s2’配对,s2’与s4’配对。分别交换后两位基因,得新染色体:
s1’’=11001(25), s2’’=01100(12),
s3’’=11011(27), s4’’=10000(16)
变异
设变异率pm=0.001。这样,群体S1中共有540.001=0.02位基因可以变异。0.02位显然不足1位,所以本轮遗传操作不做变异。
现在,我们得到了第二代种群S2:
s1=11001(25), s2=01100(12),
s3=11011(27), s4=10000(16)
表 4.2 第二代种群S2中各染色体的情况 
假设这一轮选择-复制操作中,种群S2中的4个染色体都被选中(因为选择概率毕竟只是一种几率,所以4个染色体恰好都被选中的情况是存在的),我们得到群体:
s1’=11001(25), s2’=01100(12), s3’=11011(27), s4’=10000(16)
然后,做交叉运算,让s1’与s2’,s3’与s4’ 分别交换后三位基因,得
s1’’=11100(28), s2’’=01001(9), s3’’=11000(24), s4’’=10011(19)
这一轮仍然不会发生变异。于是,得第三代种群S3:
s1=11100(28), s2=01001(9), s3=11000(24), s4=10011(19)
表4-3 第三代种群S4中各染色体的情况 
设这一轮的选择-复制结果为:
s1’=11100(28), s2’=11100(28), s3’=11000(24), s4’=10011(19)
然后,做交叉运算,让s1’与s4’,s2’与s3’ 分别交换后两位基因,得
s1’’=11111(31), s2’’=11100(28), s3’’=11000(24), s4’’=10000(16)
这一轮仍然不会发生变异。于是,得第四代种群S4:
s1=11111(31), s2=11100(28), s3=11000(24), s4=10000(16)
显然,在这一代种群中已经出现了适应度最高的染色体s1=11111。于是,遗传操作终止,将染色体“11111”作为最终结果输出。
然后,将染色体“11111”解码为表现型,即得所求的最优解:31。将31代入函数y=x2中,即得原问题的解,即函数y=x2的最大值为961。
用遗传算法求解TSP。
分析 在前面的图搜索技术中,我们曾用状态图搜索中最佳图搜索算法A*算法求解过TSP。在那里算法是在问题的状态空间中从初始节点(起点城市)出发一步一步试探性地朝目标节点前进,以找到一条最短路径。然而,对于这个问题,其任一可能解———— 一个合法的城市序列,即n个城市的一个排列都可以事先构造出来。于是,我们就可以直接在解空间(所有合法的城市序列)中搜索最佳解。这正适合用遗传算法求解。
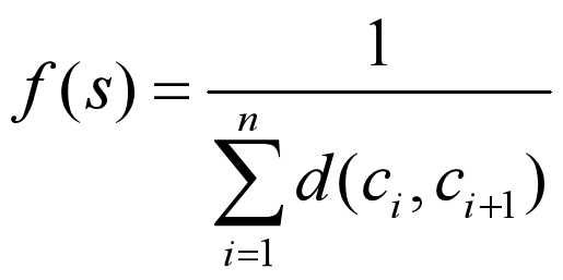
事实上,我们可以将一个合法的城市序列s=(c1, c2, …, cn, cn+1)(cn+1就是c1)作为一个个体。这个序列中相邻两城之间的距离之和的倒数就可作为相应个体s的适应度,从而适应度函数就是 
接下来的问题就是如何对个体s=(c1, c2, …, cn, cn+1)进行编码。然而,这却不是一个直截了当的事情。因为这里的任一个体(x1, x2, …, xn, xn+1)必须是一个合法的城市序列,所以如果编码不当,就会在实施交叉或变异操作时出现非法城市序列即无效解。例如,对于5个城市的TSP,我们用符号A、B、C、D、E代表相应的城市,用这5个符号的序列表示可能解即染色体。那么,对下面的两个染色体(合法序列表示的可能解)
s1=(A, C, B, E, D, A),s2=(A, E, D,C, B, A)
实施常规的交叉或变异操作,如交换后三位,得
或者将染色体s1第二位的C变为E,得
s1’’=(A, E, B, E, D, A)
显然,新产生的s1、s2和s1’’都是非法城市序列即无效解,这就是说,我们必须设计合适的染色体和相应的遗传运算,使得这些遗传运算对染色体集合封闭。
在算法设计与分析课上,旅行售货商问题(TSP)是典型的搜索问题,书中用回溯法(DFS)和分支限界法(BFS)两种算法来搜索,其解空间也是典型的排列树,从这里介绍的遗传算法来看,这是一个启发式搜索!
原文:https://www.cnblogs.com/wkfvawl/p/12058935.html