以下是几种常见的离散型概率分布和连续型概率分布类型:
伯努利分布(Bernoulli Distribution):常称为0-1分布,即它的随机变量只取值0或者1。
伯努利试验是单次随机试验,只有"成功"(1)或"失败"(0)这两种结果。假如某次伯努利实验成功的概率为p,失败的概率为q=1-p,那么实验成功或失败的概率可以写成:
。

伯努利分布的期望:
伯努利分布的方差:
二项分布(Binomial Distribution):用以描述n次独立的伯努利实验中有x次成功的概率。
假如每次伯努利实验成功的概率为p,失败的概率为q=1-p,那么n次独立的伯努利实验中有x次成功的概率是:。这就是二项分布的概率质量函数。

二项分布的期望:E(x)=μ=np
二项分布的方差:Var(x)=σ2=npq
最常见的二项分布问题就是多次投硬币:投掷10次均匀的硬币,其中恰好有5次正面朝上的概率是多少?
投掷10次均匀的硬币,其中至少有8次正面朝上的概率是多少?
当n>50,p<0.1时,二项分布可以转换成泊松分布。
当np>5以及nq>5时,二项分布可以转换成正态分布。但是由于正态分布是连续变量,所以需要加一个continuity correction,例如:P(x<=a)--->P(x<a+0.5)。
几何分布(Geometric Distribution):用以描述n次独立的伯努利试验中试验x次才第一次成功的概率。
假如每次伯努利实验成功的概率为p,失败的概率为q=1-p,那么n次独立的伯努利实验中试验x次才第一次成功的概率是:
。

几何分布的期望:E(x)=1/p
几何分布的方差:Var(x)=q/p2
超几何分布(Hypergeometric Distribution):用以描述从有限个(N个)物件中抽出n个物件(不放回),其中抽出k个指定种类物件的概率。
假如有N个物品,其中K个是某个特定种类,从这N个物品中抽出n个,其中k个是K种物品的概率是:
。
超几何分布的期望:
超几何分布的方差:
最常见的超几何分布问题就是抽取卡牌:一副卡片共有20张,其中6张是红色的,14张是黑色的。从这20张卡片中随机抽取5张,其中4张是红色卡片的概率是多少?
当
时,
多项分布(Multinomial Distribution):用以描述n次独立试验中有nx次出现结果x的概率。
伯努利实验每次都只有2个可能的结果,若将其扩展为x个可能的结果,将该独立试验重复n次,那么出现n1次p1,n2次p2,...,nx次px结果的概率是:
其中:
最常见的多项分布问题就是多次投骰子:投掷10次均匀的骰子,1次结果是6点,4次结果是4点,5次结果是2点的概率是多少?
多项分布和二项分布的区别在于:二项分布试验每次只有2个结果,而多项分布试验每次可以有多个结果。
均匀分布(Uniform Distribution):随机变量在等长度的区间上取值的概率是相同的。
例如:投掷一颗均匀的骰子,每一面出现的概率都相同。
概率密度函数:
(a≤x≤b)

均匀分布的期望:E(X) = (1/2)(a + b)
均匀分布的方差:Var(x) = (1/12)(b-a)2
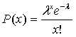
泊松分布(Poisson Distribution):用以描述在某个时间或空间范围内,某事件发生x次的概率。
其概率质量函数为:
。(其中x是在某个时间或空间范围内事件发生的次数,λ是事件发生的平均次数)

泊松分布的期望:λ
泊松分布的方差:λ
最常见的泊松分布问题就是计算单位时间内经过某地的车辆数,或者单位时间内经过某地n辆车的概率。以公交车为例,假设我们知道它过去每个小时平均会5次经过其中一个站点(λ=5),那么它接下来一个小时经过该站点1次,4次,5次,10次的概率分别是多少?
当x=1时:P(1)=e−551/1!≈0.034
当x=4时:P(4)=e−554/4!≈0.175
当x=5时:P(5)=e−555/5!≈0.175
当x=10时:P(10)=e−5510/10!≈0.018
当λ>5时,泊松分布可以转换成正态分布。但是由于正态分布是连续变量,所以需要加一个continuity correction。
指数分布(Exponential Distribution):用以描述泊松过程中随机事件发生的时间间隔的概率。泊松过程即事件以恒定的平均速率连续且独立地发生的过程。
例如:等公交车,两辆车到来的时间间隔,就符合指数分布。
其概率密度函数是:F(x) = λe − λx(x≥0,λ>0)(λ是单位时间事件发生的次数,x是事件发生的时间间隔)
总结如下:
| 几何分布 | 二项分布 | 指数分布 | 超几何分布 | 泊松分布 | |
| 概率分布类型 |
离散型概率分布 |
离散型概率分布 |
连续型概率分布 | 离散型概率分布 | 离散型概率分布 |
| 实验要求 |
|
|
|
|
|
| 随机变量 | 获得第一次成功的试验次数 | 试验成功的次数 | 事件发生的时间间隔 | 抽取指定种类物件的个数 | 在某个时间或空间范围内,某事件发生的次数 |
|
概率密度函数 或 概率质量函数 |
![]() |
F(x) = λe − λx(x≥0,λ>0) | |
![]() |
|
| 应用 | 进行n次独立的伯努利试验,求试验x次才第一次成功的概率 | 进行n次独立的伯努利实验,求x次成功的概率 | 已知单位时间内事件发生次数,求一段时间间隔内发生该事件的概率 | 从有限个(N个)物件中抽出n个物件(不放回),求其中抽出k个指定种类物件的概率 | 已知单位时间或空间内某事件发生的平均概率,求一段时间内发生x次该事件的概率或求一段时间内发生该事件的次数 |
常见的概率分布类型(二)(Probability Distribution II)
原文:https://www.cnblogs.com/HuZihu/p/10881442.html