快速幂
用于对底数的高次幂求模,例如a32常规运算是a连乘32次,快速幂则计算a2,随后计算a4,a8,a16,a32,只运算了5次,贼快。
ll power(ll a,ll b,ll q) { ll res=1; while(b) { if(b%2) res=res*a%q; b=b/2; a=a*a%q; } return res%q; }
矩阵快速幂
1.矩阵相乘
前者行*后者列。结果矩阵的行列分别是前者行数,后者列数。(既然是幂次方,必然是一个n×n的矩阵)
例如:矩阵A是n×p的矩阵,矩阵B为p×m的矩阵,这样A和B才能相乘,结果是矩阵C,C的维度是n×m。
C的计算公式:

举例说明:

2.矩阵快速幂和数字快速幂一样,只是每一次矩阵相乘都需要三重循环,看起来挺吓人的,耐心看个5min其实也是能懂的。
P3390:n阶矩阵快速幂全裸,java只能过90分?(不知道有没有改进的余地,请大佬赐教)
import java.io.BufferedInputStream; import java.util.Arrays; import java.util.HashMap; import java.util.LinkedList; import java.util.Scanner; public class Main{ //P3390【模板】矩阵快速幂 static long [] [] a=new long [105][105]; static long [] [] e=new long [105][105];//单位矩阵 static long p=1000000007; static int n; static long k; public static void main(String []args) { //Scanner scan=new Scanner(new BufferedInputStream(System.in)); Scanner scan=new Scanner( System.in); n=scan.nextInt(); k=scan.nextLong(); for(int i=1;i<=n;i++) for(int j=1;j<=n;j++) a[i][j]=scan.nextLong(); for(int i=1;i<=n;i++) e[i][i]=1; long [][] ans=pow(a, k); for(int i=1;i<=n;i++) { for(int j=1;j<=n;j++) System.out.print(ans[i][j]+" "); System.out.println(); } } public static long[][] mul(long[][] x,long [][] y){//n阶矩阵相乘 long [] [] c=new long [105][105]; for(int i=1;i<=n;i++) for(int j=1;j<=n;j++) c[i][j]=0; //对于c矩阵的结果,是x的列与y的行相乘的结果,使用X的列数作为k,必然对应Y的行 for(int i=1;i<=n;i++) for(int j=1;j<=n;j++) for(int k=1;k<=n;k++) c[i][j]=(c[i][j]+x[i][k]*y[k][j])%p; return c; } public static long[][] pow(long[][] x,long k ){ long [] [] res=e;//单位矩阵 while(k!=0) { if(k%2==1) res=mul(res,x); x=mul(x, x); k=k/2; } return res; } }
#include<stdio.h> #include<iostream> #include<algorithm> #include<cstring> #include<math.h> #include<string> #include<map> #include<queue> #include<stack> #include<set> #include<ctime> #define ll long long #define inf 0x3f3f3f3f const double pi=3.1415926; using namespace std; struct matrix{ ll x[105][105]; }; matrix a,e; int n; ll p=1000000007; ll b; matrix mul(matrix a,matrix b){ matrix res; for(int i=1;i<=n;i++) for(int j=1;j<=n;j++) res.x[i][j]=0;//初始化清0操作 for(int i=1;i<=n;i++) for(int j=1;j<=n;j++) for(int k=1;k<=n;k++) res.x[i][j]=(res.x[i][j]+a.x[i][k]*b.x[k][j] )%p; return res; } matrix pow( matrix a,ll b) { matrix res=e; while(b){ if(b%2==1) res=mul(res,a); b=b/2; a=mul(a,a); } return res; } int main()//P3390 { scanf("%d %lld",&n,&b); for(int i=1;i<=n;i++) for(int j=1;j<=n;j++) scanf("%lld",&a.x[i][j]); for(int i=1;i<=n;i++) e.x[i][i]=1; matrix ans=pow(a,b); for(int i=1;i<=n;i++) { for(int j=1;j<=n;j++) printf("%lld ",ans.x[i][j]); printf("\n"); } return 0; }
斐波那契矩阵快速幂
1.斐波那契数列递推式 f(n)=f(n-1)+f(n-2)
默认第一项为0,f(0)=0;f(1)=1;f(2)=1;f(3)=2;f(4)=3;f(5)=5;f(6)=8;...
2.融合进矩阵运算公式

底数矩阵为[ f(2),f(1);f(1),f(0) ];n次幂后取矩阵An右上角的数为f(n)
手动验证一下[ 1,1; 1,0 ]*An = [ 1,1; 1,0 ]*[ f(n+1),f(n); f(n),f(n-1) ] = [ f(n+1)+f(n),f(n)+f(n-1); f(n+1),f(n) ] = [ f(n+2),f(n+1); f(n+1),f(n) ];
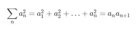
斐波那契求前n项平方和
公式和图证如下:


题目:https://ac.nowcoder.com/acm/contest/3282/A,套用斐波那契矩阵快速幂的模板。
import java.io.BufferedInputStream; import java.util.Arrays; import java.util.HashMap; import java.util.LinkedList; import java.util.Scanner; public class Main{ static long[][] a=new long[3][3];//底数矩阵 static long[][] e=new long[3][3];//单位矩阵 static long p=1000000007; public static void main(String []args) { //Scanner scan=new Scanner(new BufferedInputStream(System.in)); Scanner scan=new Scanner( System.in); a[1][1]=1;a[1][2]=1;a[2][1]=1;a[2][2]=0; e[1][1]=e[2][2]=1; long k=scan.nextLong(); long[][] res=pow(a, k); long ans=res[1][1]*res[1][2]%p; System.out.println(ans); } public static long[][] mul(long[][] x,long [][] y){//n阶矩阵相乘 long [] [] c=new long [3][3]; for(int i=1;i<=2;i++) for(int j=1;j<=2;j++) for(int k=1;k<=2;k++) c[i][j]=(c[i][j]+x[i][k]*y[k][j])%p; return c; } public static long[][] pow(long[][] x,long k ){ long [] [] res=e;//单位矩阵 while(k!=0) { if(k%2==1) res=mul(res,x); x=mul(x, x); k=k/2; } return res; } }
斐波那契循环节
原文:https://www.cnblogs.com/shoulinniao/p/12078692.html