集成学习
随机森林算法:
一般用于大规模数据,百万级以上的。
在Bagging算法的基础上,如上面的解释,在去重后得到三组数据,那么再随机抽取三个特征属性,选择最佳分割属性作为节点来创建决策树。可以说是
RF(随机森林)的变种:
ExtraTree算法
凡解:和随机森林的原理基本一样。主要差别点如下
①随机森林是在含有m个数据的原数据集上有放回的抽取m个数据,而ExtraTree算法是直接用原数据集训练。
②随机森林在选择划分特征点的时候会和传统决策树一样,会基于信息增益、信息增益率、基尼系数、均方差等原则来选择最优特征值;而ExtraTree会随机的选择一个特征值来划分决策树。
TRTE算法
不重要,了解一下即可
官解:TRTE是一种非监督的数据转化方式。对特征属性重新编码,将低维的数据集映射到高维,从而让映射到高维的数据更好的应用于分类回归模型。
划分标准为方差
看例子吧直接:

IForest
IForest是一种异常点检测算法,使用类似RF的方式来检测异常点
此算法比较坑,适应性不强。
1.在随机采样的过程中,一般只需要少量数据即可;
•2.在进行决策树构建过程中,IForest算法会随机选择一个划分特征,并对划分特征随机选择一个划分阈值;
•3.IForest算法构建的决策树一般深度max_depth是比较小的。
此算法可以用,但此算法连创作者本人也无法完整的解释原理。
RF(随机森林)的主要优点:
●1.训练可以并行化,对于大规模样本的训练具有速度的优势;
●2.由于进行随机选择决策树划分特征列表,这样在样本维度比较高的时候,仍然具有比较高的训练性能;
●3.可以给出各个特征的重要性列表;
●4.由于存在随机抽样,训练出来的模型方差小,泛化能力强;
●5. RF实现简单;
●6.对于部分特征的缺失不敏感。
RF的主要缺点:
●1.在某些噪音比较大的特征上(数据特别异常情况),RF模型容易陷入过拟合;
●2.取值比较多的划分特征对RF的决策会产生更大的影响,从而有可能影响模型的
效果。
Boosting算法
关键点与难点在于如何修改数据
原理:将 含有m个数据的数据集 丢给一个弱学习器1分类,比如分对百分之60,
那么经过一定手段修改数据集,数据个数还是m个,将修改后的数据集扔给弱学习器2训练,学习器2把在学习器1中分错的那一部分又分对百分之三十。
再修改数据集,将修改后的数据集扔给弱学习器3训练,学习器3把在学习器1和2中分错的那一部分又分对百分之三十。
最后加权融合为一个强学习器。
......
......
如下图:

重点:修改数据集的方法
①凡解(配图讲解,绝对可以懂):
设原数据集为D,将其咔嚓好几刀分为n份,假设分成了三份,一份70%,一份20%,一份10%。
先拿70%这份去给弱分类器C1进行训练,假设C1分对了55%,分错了45%。
再提溜20%那一份作为测试集,扔给C1训练,分对了算C1牛批,C1没出息分错了的话就扔给楼下的D2数据集
由C1分错了的数据加上一些C1分对了的数据共同组成数据集D2,把D2丢给一个新的弱分类器C2训练。(为什么加上一些C1分对了的数据?为了保证数据的完整性,如果D2中含有C1分的错的多,那么C2分类时就会偏向于C1分错的这部分,因为它多啊,所以尽量D2中是一半C1分对的,一半C1分错的)
以此类推,生生不息
老板,上图!

②AdaBoost算法修改数据
最好用来作分类
凡解:总而言之一句话:修改权重,基于上上个图片,可以看出,一个一个的弱分类器分类后,越往后的弱分类器分类误差率越小,也就是分类效果越好(因为分类错误的越来越少了),
官解一:
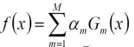
其中Gm为从第一个开始的一个一个的弱分类器,G1,G2,G3......Gm。
αm为我们分配给各个分类器的权重。
如下公式是强分类器的公式:

公式解释:公式的结果是加权求和的形式,组合成强分类器。Gm是弱分类器,那么Gm分类的结果就是1or-1,1or-1,1or-1,αm是权重,可以是任意值,所以αm是连续的,那么
也就是连续的,但是我们最后搭建的是分类器,所以用符号函数,把连续的量变成离散的量。
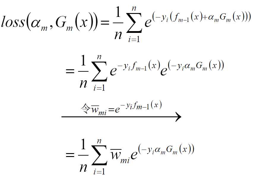
那么现在就该求αm和Gm了吧,首先搞清楚分类的目标是什么?答:分类的准确率。自然就是错误率越低越好咯。
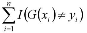
那我们以分类错误的几率作为损失函数,分类错误的几率如何表示?分类错误的个数/总的个数,分类错误的个数如何表示?G(x)≠yi,G(x)是强分类器分类的结果,yi是对应的正确的分类标签。G(x)≠yi也就是说强学习器分类的结果和它正确的所属类别不同,不就是分类错误咯。为了便于操作,用指示函数把它套上,即I(G(x)≠yi),意思是分类错误的话记作1,分类正确的话记作0,i从1到n就是分类错误的样本个数
,n是总的个数,即所有样本的个数,再除以n,不就是错误率了吗,最后损失函数公式如下:
,
现在再回归我们一开始的目标:让其准确率最高,即错误率最低,求αm和Gm。----很明显,损失函数和αm与Gm没有半毛钱关系,那怎么办?扩大呗,扩大后让它们有关系呗,怎么扩大?这个有点乱,我用手写表示吧,上图!

最后损失函数公式建立起来关系后为:![]()
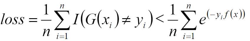
目的是准确率最高,那么找损失函数最小值即可,也就是找
最小值即可。
f(x)其实是α1G1+α2G2+α3G3+.....+αmGm,而Boosting思想是搭建了第一个分类器才搭建第二个分类器,那么当我要求αmGm的时候,实际上从α1G1到αm-1Gm-1都是知道的,那么损失函数
中的f(x)就可以写成f(m-1)(x)+αmGm,得到![]()
化简后得到

那么实际过程中,假设Gm这个分类器我们已知了,那么最后的式子就只有一个αm是未知参数,要错误率最小,即求loss函数的最小值,即求导=0即可,对谁求导?一个未知参数,αm。求导过程如下,手推了一遍,有些乱,但是易懂,嫌乱的后面有官解过程


Adaboost第二种修改数据集的方式其实就是修改样本的权重,即wi
如下图


权重更新用的就是
公式
每搭建一个弱分类器,就和之前的弱分类器集成一下,集成完之后看看结合成的强学习器的结果,达到要求不再往下进行,达不到继续搭建弱分类器,要求就是准确率。
结束。
原文:https://www.cnblogs.com/qianchaomoon/p/12107552.html