原文 | https://mp.weixin.qq.com/s/bOchsmHTINKKlyabCQKMSg
相关阅读
如果随机试验仅有两个可能的结果,那么这两个结果可以用0和1表示,此时随机变量X将是一个0/1的变量,其分布是单个二值随机变量的分布,称为伯努利分布。注意伯努利分布关注的是结果只有0和1,而不管观测条件是什么。
设p是随机变量等于1的概率,伯努利分布有一些特殊的性质:

将上面的两个式子合并:

伯努利变量是离散型,并且是一个0/1变量,它的数学期望是:

方差是:

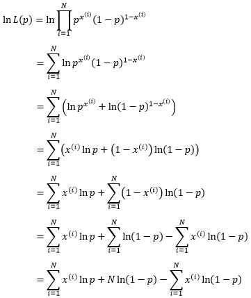
对于伯努利分布的质量函数来说,p是唯一的参数。如果给定N个独立同分布的样本 {x(1), x(2), ……, x(N)},x(t)是投硬币的结果,是随机变量,x(t)?{0, 1},可以通过极大似然估计,根据样本推测出p的取值:

取对数似然函数:


这是个符合直觉的结果,即使没学过概率和极大似然也能得出这个结论。
假设某个试验是伯努利试验,成功概率用p表示,那么失败的概率为1-p。现在进行了N次这样的试验,成功了x次,失败了N-x次,发生这种情况的概率是多少?
对于每次实验来说,成功的概率都是p,失败的概率是1-p。假设已经完成了N次试验,并且前x次都成功了,后N-x次都失败了:

x次成功的情况当然不止一种,比如成功和失败交叉在一起:

这种成功和失败的排列顺序共有
种不同的情况,因此对于任意N次伯努利试验,成功了x次的概率是:

的另一种记法是
。

P(x)就是二项分布的质量函数,是N次伯努利试验中取得x次成功的概率。
二项分布的均值和方差分别为Np和Np(1-p)。
从二项分布的质量函数P(x)可知,概率分布只与试验次数N和成功概率p有关,p越接近0.5,二项分布将越对称。保持二项分布试验的次数N不变,随着成功概率p逐渐接近0.5,二项分布逐渐对称,且近似于均值为Np、方差为Np(1-p)的正态分布:

多项分布是二项分布的扩展,其中随机试验的结果不是两种状态,而是K种互斥的离散状态,每种状态出现的概率为pi,p1 + p1 + … + pK = 1,在这个前提下共进行了N次试验,用x1~xK表示每种状态出现次数,x1 + x2 + …+ xK = N,称X=(x1, x2, …, xK)服从多项分布,记作X~PN(N:p1, p2,…,pn)。
如果说二项分布的典型案例是扔硬币,那么多项分布就是扔骰子。骰子有6个不同的点数,扔一次骰子,每个点数出现的概率(对应p1~p6)都是1/6。重复扔N次,6点出现x次的概率是:

这和二项分布的质量函数类似。现在将问题扩展一下,扔N次骰子,1~6出现次数分别是x1~x6时的概率是多少?
仍然和二项式类似,假设前x1次都是1点,之后的x2次都是2点……最后x6次都是6点:

1~6出现次数分别是x1~x6的情况不止一种,1点出现x1次的情况有
种;在1点出现x1次的前提下,2点出现x2次的情况有
种;在1点出现x1次且2点出现x2次的前提下,3点出现x3的情况有
种……扔N次骰子,1~6出现次数分别是x1~x6时的概率是:

根据①:

最终,扔骰子的概率质量函数是:

把这个结论推广到多项分布:某随机实验如果有K种可能的结果C1~CK,它们出现的概率是p1~pK。在N随机试验的结果中,分别将C1~CK的出现次数记为随机变量X1~XK,那么C1出现x1次、C2出现x2次……CK出现xK次这种事件发生的概率是:

其中x1 + x2 + …+ xK = N,p1 + p2 + …+ pK = 1。
多项式的极大似然是指在随机变量X1=x1, X2=x2, ……, XK=xK时,最可能的p1~pK。

对数极大似然:

现在问题变成了求约束条件下的极值:

根据拉格朗日乘子法:

根据约束条件:

这也是个符合直觉的结论。面对有N个样本的K分类数据集,当pi = xi/N 时,Ci类最可能出现xi次。为了这个结论我们却大费周章,也许又有人因此而嘲笑概率简单了……
出处:微信公众号 "我是8位的"
本文以学习、研究和分享为主,如需转载,请联系本人,标明作者和出处,非商业用途!
扫描二维码关注作者公众号“我是8位的”

原文:https://www.cnblogs.com/bigmonkey/p/12112512.html