来源:https://www.jianshu.com/p/c02a1fbffad6
来写一个softmax求导的推导过程,不仅可以给自己理清思路,还可以造福大众,岂不美哉~
softmax经常被添加在分类任务的神经网络中的输出层,神经网络的反向传播中关键的步骤就是求导,从这个过程也可以更深刻地理解反向传播的过程,还可以对梯度传播的问题有更多的思考。
softmax(柔性最大值)函数,一般在神经网络中, softmax可以作为分类任务的输出层。其实可以认为softmax输出的是几个类别选择的概率,比如我有一个分类任务,要分为三个类,softmax函数可以根据它们相对的大小,输出三个类别选取的概率,并且概率和为1。
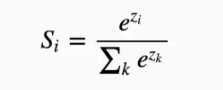
softmax函数的公式是这种形式:

S_i代表的是第i个神经元的输出。
ok,其实就是在输出后面套一个这个函数,在推导之前,我们统一一下网络中的各个表示符号,避免后面突然出现一个什么符号懵逼推导不下去了。
首先是神经元的输出,一个神经元如下图:

神经元的输出设为:

其中w_{ij}是第i个神经元的第j个权重,b是偏移值。z_i表示该网络的第i个输出。
给这个输出加上一个softmax函数,那就变成了这样:

a_i代表softmax的第i个输出值,右侧就是套用了softmax函数。
在神经网络反向传播中,要求一个损失函数,这个损失函数其实表示的是真实值与网络的估计值的误差,知道误差了,才能知道怎样去修改网络中的权重。
损失函数可以有很多形式,这里用的是交叉熵函数,主要是由于这个求导结果比较简单,易于计算,并且交叉熵解决某些损失函数学习缓慢的问题。交叉熵的函数是这样的:

其中y_i表示真实的分类结果。
到这里可能嵌套了好几层,不过不要担心,下面会一步步推导,强烈推荐在纸上写一写,有时候光看看着看着就迷糊了,自己边看边推导更有利于理解~
在我最开始看softmax推导的时候,有时候看到一半不知道是怎么推出来的,其实主要是因为一些求导法则忘记了,唉~
所以这里把基础的求导法则和公式贴出来~有些忘记的朋友可以先大概看一下:

好了,这下正式开始~
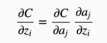
首先,我们要明确一下我们要求什么,我们要求的是我们的loss对于神经元输出(z_i)的梯度,即:

根据复合函数求导法则:

有个人可能有疑问了,这里为什么是a_j而不是a_i,这里要看一下softmax的公式了,因为softmax公式的特性,它的分母包含了所有神经元的输出,所以,对于不等于i的其他输出里面,也包含着z_i,所有的a都要纳入到计算范围中,并且后面的计算可以看到需要分为i = j和i ≠ j两种情况求导。
下面我们一个一个推:

第二个稍微复杂一点,我们先把它分为两种情况:
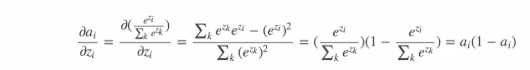
如果i=j:

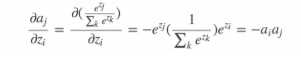
如果i≠j:

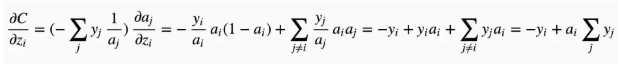
ok,接下来我们只需要把上面的组合起来:

最后的结果看起来简单了很多,最后,针对分类问题,我们给定的结果y_i最终只会有一个类别是1,其他类别都是0,因此,对于分类问题,这个梯度等于:

来源:https://www.jianshu.com/p/c02a1fbffad6
原文:https://www.cnblogs.com/phoenixash/p/12129214.html