从“编程之美”的角度看,可以借用一句非常经典的话:“迭代是人,递归是神!”来从宏观上对二者进行把握。
从概念上讲,递归就是指程序调用自身的编程思想,即一个函数调用本身;迭代是利用已知的变量值,根据递推公式不断演进得到变量新值得编程思想。
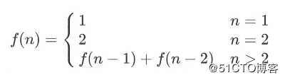
递归就是函数自己调用自己。
2.?不能无限制地调用本身,须有个出口,化简为非递归状况处理。
第一:每一级的函数调用都有自己的变量。
第二:每一次函数调用都会有一次返回。
第三:递归函数中,位于递归调用前的语句和各级被调用函数具有相同的执行顺序。
第四:递归函数中,位于递归调用后的语句的执行顺序和各个被调用函数的顺序相反。
第五:虽然每一级递归都有自己的变量,但是函数代码并不会得到复制。

这个递归函数的功能是什么,怎样调用这个函数,即设计好递归函数的返回值和参数列表
什么时候应该结束这个递归,它的边界条件(出口)是什么(边界条件)
int f(int n) {
//出口
if (n > 0) {
return n + f(n - 1);
} else {
return 0;
}
}


递归递归,有递就得有归(出口),只递不归会导致程序崩溃。
要得到n - 1的积直接调用 f(x) 这个函数就行了,完全不需要思考这个函数怎么执行的。
一个台阶总共有n级,如果一次可以跳1级,也可以跳2级。求总共有多少总跳法。I第一行输入T,表示有多少个测试数据。接下来T行,每行输入一个数n,表示台阶的阶数。
输出时每一行对应一个输出。


当n > 2 时,如果走1级有多少种走法?+?如果走2级有多少种走法,就是n级台阶所有的走法。
int fun(int n) {
if (n == 1) {
return 1;
} else {
return n * fun(n - 1);
}
}
int fun(int n) {
int x = 1;
for (int i = 2; i <= n; i++) {
x *= i;
}
return x;
}
迭代与普通循环的区别是:迭代时,循环代码中参与运算的变量同时是保存结果的变量,当前保存的结果作为下一次循环计算的初始值。
递归与普通循环的区别是:循环是有去无回,而递归则是有去有回(因为存在终止条件)。
在循环的次数较大的时候,迭代的效率明显高于递归。
迭代的方式有所不同,假如有个产品要求6个月交货,我在第一个月就会拿出一个产品来,当然,这个产品会很不完善,会有很多功能还没有添加进去,bug很多,还不稳定,但客户看了以后,会提出更详细的修改意见,这样,你就知道自己距离客户的需求有多远,我回家以后,再花一个月,在上个月所作的需求分析、框架设计、代码、测试等等的基础上,进一步改进,又拿出一个更完善的产品来,给客户看,让他们提意见。
就这样,我的产品在功能上、质量上都能够逐渐逼近客户的要求,不会出现我花了大量心血后,直到最后发布之时才发现根本不是客户要的东西的情况。
这个过程也很像打游戏,你刚开始玩,一下子就输了,但是随着你玩的次数越来越多,你的技艺就越来越精湛,而这个结果,不是你在开始玩游戏的时候,规划出来的,而是在你玩的过程中,通过不断的输不断的输,练出来的。
所以,你能达成的结果,都是在你做的过程中,不断试错,不断调整,不断精进,最后自然而然得到的一个结果。
所以,我们不能把迭代简单的理解为“升级”。
升级,更多描述的是一个结果,是一种直接的,一次性的,达成的一个目标,是一种线性的进程。
而迭代,是通过无数次,不断的,重复的,接近一个目标,折返接近,再折返再接近,最终达到目标。它不是一次性完成的,是通过不断重复的,但每次重复又比之前更好一点,这样一种非线性的进程。
现在我们把“迭代”的关键词拆解一下:
1.重复:
不断的重复做,而不是一次性的完成。
2.改进
在做的过程中不断的改进、调整、优化。
3.认知升级
迭代的过程就是不断提高认知的过程,升级只是这个过程的一个结果。
原文:https://blog.51cto.com/14230003/2463396