1.黑白图像不是二维数据。图像的维度,实际上是图像中特征向量的数量。用向量数据化图像,想象按行扫描,遇到的每一个像素都是向量的一个元素,像素个数就是向量维数;例如二维图像矩阵表示为:256*256=65536,维数还是很高的。一个100x100像素的图像其灰度图产生的特征向量是10000维度,而1920x1080像素的图像则对应2073600维度的特征向量。
2.图像降维:降维算法中的”降维“,指的是降低特征矩阵中特征的数量。
假设一个矩阵 (大小为
,已经归一化), 那么可以得到一个
的协方差矩阵
。这是一个对称矩阵,特征向量正交。
因此应用SVD分解 。其中
是特征向量组成的矩阵(
),
是由特征值组成的对角矩阵。特征向量对应数据的主要方向。然后就是把数据投影到这个方向上来。那么投影后为
。
如果只取前 个特征值对应的特征向量,那么原本
(
)可以变成
(
),完成了降维。
图像降维可以去噪声,比如人脸识别。很多张人脸图计算相识度。降维后保留足够的信息。
genfaces为特征脸,也就是特征向量取前6个得到的信息含量最大的脸。然后右边的图片可以投影上去,降维后看相似度。代码地址
Faces dataset decompositions2.Certified Adversarial Robustness via Randomized Smoothing
代码地址: http://github.com/locuslab/smoothing.
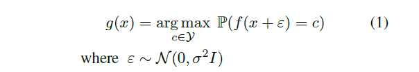
定义: “smoothed” classifier g

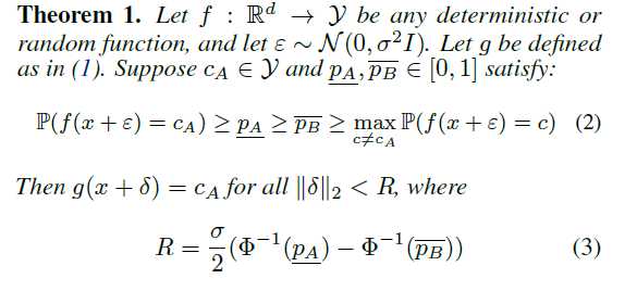
论文证明的结论



从任意分类器f得到g的方法:通过大量采样。

参考文献:
1.https://www.zhihu.com/question/270867521
2.https://www.jianshu.com/p/c1a9604db03b
3.https://cloud.tencent.com/developer/article/1030408
4.Jeremy M. Cohen, Elan Rosenfeld, J. Zico Kolter:Certified Adversarial Robustness via Randomized Smoothing. ICML 2019: 1310-1320
原文:https://www.cnblogs.com/xueqiuqiu/p/12230215.html