1. k 近邻算法
k近邻法(k-nearest neighbor, k-NN) 是一种基本分类与回归方法。 k近邻法的输入为实例的特征向量, 对应于特征空间的点; 输出为实例的类别, 可以取多类。 k近邻法假设给定一个训练数据集, 其中的实例类别已定。 分类时, 对新的实例, 根据其k个最近邻的训练实例的类别, 通过多数表决等方式进行预测。因此, k近邻法不具有显式的学习过程。 k近邻法实际上利用训练数据集对特征向量空间进行划分, 并作为其分类的“模型”。 k值的选择、 距离度量及分类决策规则是k近邻法的三个基本要素。 k近邻法1968年由Cover和Hart提出。
算法(k近邻法)
输入: 训练数据集![]()
其中, xi?x⊆Rn为实例的特征向量, yi? ={c1, c2,…,cK}为实例的类别, i=1,2,…,N; 实例特征向量x;
输出: 实例x所属的类y。
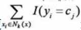
(1) 根据给定的距离度量, 在训练集T中找出与x最邻近的k个点, 涵盖这k个点的x的邻域记作Nk(x);
(2) 在Nk(x)中根据分类决策规则(如多数表决) 决定x的类别y:
![]()
上式中, I为指示函数, 即当yi=cj时I为1, 否则I为0。
k近邻法的特殊情况是k=1的情形, 称为最近邻算法。 对于输入的实例点(特征向量) x, 最近邻法将训练数据集中与x最邻近点的类作为x的类。k近邻法没有显式的学习过程。
2. k 近邻模型
k近邻法使用的模型实际上对应于对特征空间的划分。 模型由三个基本要素——距离度量、 k值的选择和分类决策规则决定。
特征空间中两个实例点的距离是两个实例点相似程度的反映。 k近邻模型的特征空间一般是n维实数向量空间Rn。 使用的距离是欧氏距离, 但也可以是其他距离, 如更一般的Lp距离(Lp distance) 或Minkowski距离(Minkowski distance) 。设特征空间x是n维实数向量空间Rn,![]()
![]()
xi,xj的Lp距离定义为:
这里p≥1。
当p=2时, 称为欧氏距离(Euclidean distance), 即![]()
当p=1时, 称为曼哈顿距离(Manhattan distance) , 即![]()
当p=
时, 它是各个坐标距离的最大值, 即![]()
图3.2给出了二维空间中p取不同值时, 与原点的Lp距离为1(Lp=1) 的点的图形。

k值的选择会对k近邻法的结果产生重大影响。
如果选择较小的k值, 就相当于用较小的邻域中的训练实例进行预测, “学习”的近似误差(approximation error) 会减小, 只有与输入实例较近的(相似的) 训练实例才会对预测结果起作用。 但缺点是“学习”的估计误差(estimation error) 会增大, 预测结果会对近邻的实例点非常敏感。 如果邻近的实例点恰巧是噪声, 预测就会出错。 换句话说, k值的减小就意味着整体模型变得复杂, 容易发生过拟合。
如果选择较大的k值, 就相当于用较大邻域中的训练实例进行预测。 其优点是可以减少学习的估计误差。 但缺点是学习的近似误差会增大。 这时与输入实例较远的(不相似的) 训练实例也会对预测起作用, 使预测发生错误。 k值的增大就意味着整体的模型变得简单。
k近邻法中的分类决策规则往往是多数表决, 即由输入实例的k个邻近的训练实例中的多数类决定输入实例的类。
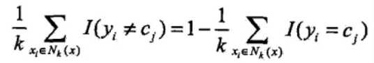
多数表决规则(majority voting rule) 有如下解释: 如果分类的损失函数为0-1损失函数, 分类函数为![]()
那么误分类的概率是
。
对给定的实例x?x, 其最近邻的k个训练实例点构成集合Nk(x)。 如果涵盖Nk(x)的区域的类别是cj, 那么误分类率是
要使误分类率最小即经验风险最小, 就要使 ![]()
最大, 所以多数表决规则等价于经验风险最小化。
3. k 近邻法的实现: kd 树
kd树是一种对k维空间中的实例点进行存储以便对其进行快速检索的树形数据结构。kd树是二叉树, 表示对k维空间的一个划分(partition) 。 构造kd树相当于不断地用垂直于坐标轴的超平面将k维空间切分, 构成一系列的k维超矩形区域。 kd树的每个结点对应于一个k维超矩形区域。
构造平衡kd树
输入: k维空间数据集T={x1, x2,…,xN},
其中 , i=1,2,…,N;
输出: kd树。
(1) 开始: 构造根结点, 根结点对应于包含T的k维空间的超矩形区域。
选择x(1)为坐标轴, 以T中所有实例的x(1)坐标的中位数为切分点, 将根结点对应的超矩形区域切分为两个子区域。 切分由通过切分点并与坐标轴x(1)垂直的超平面实现。由根结点生成深度为1的左、 右子结点: 左子结点对应坐标x(1)小于切分点的子区域,右子结点对应于坐标x(1)大于切分点的子区域。将落在切分超平面上的实例点保存在根结点。
(2) 重复: 对深度为j的结点, 选择x(l)为切分的坐标轴, l=j(modk)+1, 以该结点的区域中所有实例的x(l)坐标的中位数为切分点, 将该结点对应的超矩形区域切分为两个子区域。 切分由通过切分点并与坐标轴x(l)垂直的超平面实现。由该结点生成深度为j+1的左、 右子结点: 左子结点对应坐标x(l)小于切分点的子区域, 右子结点对应坐标x(l)大于切分点的子区域。将落在切分超平面上的实例点保存在该结点。
(3) 直到两个子区域没有实例存在时停止。 从而形成kd树的区域划分。
代码:
# kd-tree每个结点中主要包含的数据结构如下
class KdNode(object):
def __init__(self, dom_elt, split, left, right):
self.dom_elt = dom_elt # k维向量节点(k维空间中的一个样本点)
self.split = split # 整数(进行分割维度的序号)
self.left = left # 该结点分割超平面左子空间构成的kd-tree
self.right = right # 该结点分割超平面右子空间构成的kd-tree
class KdTree(object):
def __init__(self, data):
k = len(data[0]) # 数据维度
def CreateNode(split, data_set): # 按第split维划分数据集exset创建KdNode
if not data_set: # 数据集为空
return None
# key参数的值为一个函数,此函数只有一个参数且返回一个值用来进行比较
# operator模块提供的itemgetter函数用于获取对象的哪些维的数据,参数为需要获取的数据在对象中的序号
#data_set.sort(key=itemgetter(split)) # 按要进行分割的那一维数据排序
data_set.sort(key=lambda x: x[split])
split_pos = len(data_set) // 2 # //为Python中的整数除法
median = data_set[split_pos] # 中位数分割点
split_next = (split + 1) % k # cycle coordinates
# 递归的创建kd树
return KdNode(median, split,
CreateNode(split_next, data_set[:split_pos]), # 创建左子树
CreateNode(split_next, data_set[split_pos + 1:])) # 创建右子树
self.root = CreateNode(0, data) # 从第0维分量开始构建kd树,返回根节点
# KDTree的前序遍历
def preorder(root):
print (root.dom_elt)
if root.left: # 节点不为空
preorder(root.left)
if root.right:
preorder(root.right)
用kd树的最近邻搜索
输入: 已构造的kd树; 目标点x;
输出: x的最近邻。
(1) 在kd树中找出包含目标点x的叶结点: 从根结点出发, 递归地向下访问kd树。 若目标点x当前维的坐标小于切分点的坐标, 则移动到左子结点, 否则移动到右子结点。 直到子结点为叶结点为止。
(2) 以此叶结点为“当前最近点”。
(3) 递归地向上回退, 在每个结点进行以下操作:
(a) 如果该结点保存的实例点比当前最近点距离目标点更近, 则以该实例点为“当前最近点”。
(b) 当前最近点一定存在于该结点一个子结点对应的区域。 检查该子结点的父结点的另一子结点对应的区域是否有更近的点。 具体地, 检查另一子结点对应的区域是否与以目标点为球心、 以目标点与“当前最近点”间的距离为半径的超球体相交。
如果相交, 可能在另一个子结点对应的区域内存在距目标点更近的点, 移动到另一个子结点。 接着, 递归地进行最近邻搜索;
如果不相交, 向上回退。
(4) 当回退到根结点时, 搜索结束。 最后的“当前最近点”即为x的最近邻点。
如果实例点是随机分布的, kd树搜索的平均计算复杂度是O(logN), 这里N是训练实
例数。 kd树更适用于训练实例数远大于空间维数时的k近邻搜索。 当空间维数接近训练实
例数时, 它的效率会迅速下降, 几乎接近线性扫描。
代码:
# 对构建好的kd树进行搜索,寻找与目标点最近的样本点:
from math import sqrt
from collections import namedtuple
# 定义一个namedtuple,分别存放最近坐标点、最近距离和访问过的节点数
result = namedtuple("Result_tuple", "nearest_point nearest_dist nodes_visited")
def find_nearest(tree, point):
k = len(point) # 数据维度
def travel(kd_node, target, max_dist):
if kd_node is None:
return result([0] * k, float("inf"), 0) # python中用float("inf")和float("-inf")表示正负无穷
nodes_visited = 1
s = kd_node.split # 进行分割的维度
pivot = kd_node.dom_elt # 进行分割的“轴”
if target[s] <= pivot[s]: # 如果目标点第s维小于分割轴的对应值(目标离左子树更近)
nearer_node = kd_node.left # 下一个访问节点为左子树根节点
further_node = kd_node.right # 同时记录下右子树
else: # 目标离右子树更近
nearer_node = kd_node.right # 下一个访问节点为右子树根节点
further_node = kd_node.left
temp1 = travel(nearer_node, target, max_dist) # 进行遍历找到包含目标点的区域
nearest = temp1.nearest_point # 以此叶结点作为“当前最近点”
dist = temp1.nearest_dist # 更新最近距离
nodes_visited += temp1.nodes_visited
if dist < max_dist:
max_dist = dist # 最近点将在以目标点为球心,max_dist为半径的超球体内
temp_dist = abs(pivot[s] - target[s]) # 第s维上目标点与分割超平面的距离
if max_dist < temp_dist: # 判断超球体是否与超平面相交
return result(nearest, dist, nodes_visited) # 不相交则可以直接返回,不用继续判断
#----------------------------------------------------------------------
# 计算目标点与分割点的欧氏距离
temp_dist = sqrt(sum((p1 - p2) ** 2 for p1, p2 in zip(pivot, target)))
if temp_dist < dist: # 如果“更近”
nearest = pivot # 更新最近点
dist = temp_dist # 更新最近距离
max_dist = dist # 更新超球体半径
# 检查另一个子结点对应的区域是否有更近的点
temp2 = travel(further_node, target, max_dist)
nodes_visited += temp2.nodes_visited
if temp2.nearest_dist < dist: # 如果另一个子结点内存在更近距离
nearest = temp2.nearest_point # 更新最近点
dist = temp2.nearest_dist # 更新最近距离
return result(nearest, dist, nodes_visited)
return travel(tree.root, point, float("inf")) # 从根节点开始递归
p = inf为闵式距离minkowski_distance
例3.2 给定一个二维空间的数据集:![]()
构造一个平衡kd树。
data = [[2,3],[5,4],[9,6],[4,7],[8,1],[7,2]]
kd = KdTree(data)
preorder(kd.root)
[7, 2]
[5, 4]
[2, 3]
[4, 7]
[9, 6]
[8, 1]
找出距离点[3,4.5]最近的点:
ret = find_nearest(kd, [3,4.5])
print (ret)
Result_tuple(nearest_point=[2, 3], nearest_dist=1.8027756377319946, nodes_visited=4)
本代码同样适用三维,使用方式一样。
原文:https://www.cnblogs.com/xutianlun/p/12237498.html