这篇文章主要对比DL出现之前的几种上古算法,为了作为DL方法的引子而存在,顺便博客也该更新点新内容上来了,这篇博文就是介绍了我最近在玩什么。
传统的方法主要有三种:Resize(拉伸、收缩)、Crop(裁剪)和Seam Carving(接缝裁剪)。
其中接缝裁剪这个算法挺好玩的,论文参见 Seam Carving,截止本篇博文,被引用次数是1914次,可以说是很经典的文章了。
该论文实现的效果图:

三种算法的对比由python实现,python版本为python3.8,对应下列依赖库版本为conda直接安装,不同版本请注意自己改动部分接口。
opencv 用于图像处理
scipy 用于图像卷积
notebook 提供环境
matplotlib 用于图像显示
tqdm 用于进度显示(可不用 主要是因为SC算法太慢了 会让人觉得程序卡了
numpy 用于辅助opencv
具体引用代码如下:
import cv2
import matplotlib.pyplot as plt
import numpy as np
from scipy.ndimage.filters import convolve
from tqdm import trange
都有opencv了,还用问么?
img = cv2.imread('test1.jpg')
imshow(img)
img.shape

其中imshow()函数是自己定义的,用于显示处理结果和处理过程的中间图像,这样就方便在notebook中查看了,需要注意的是opencv存储图像的格式和PIL不太一样,为bgr,需要转换。
def imshow(img):
if (len(img.shape) == 2) :
plt.imshow(img)
plt.show()
return
b,g,r = cv2.split(img)
img_rgb = cv2.merge([r,g,b])
plt.imshow(img_rgb)
plt.show()
裁剪配合numpy的花式索引(别笑,这是正式名称)即可实现,本质上就是对数组的划分。
假如限定屏幕宽度为900像素(因为一般用在手机、iPad等终端上,所以不限制高度),Resize的结果如下:
左侧裁剪:
width = 900
height = img.shape[0]
crop = img[:height, :width]
imshow(crop)

居中裁剪:
width = 900
height = img.shape[0]
crop = img[:height, (img.shape[1] - width) // 2 : (img.shape[1] + width) // 2]
imshow(crop)

可以看出,裁剪方法完全没有考虑图像的细节,简单的裁剪带来内容的严重丢失,优点是速度极快,几乎不消耗资源。
缩放也是使用opencv内置函数实现。
opencv提供了五种Resize方法:
INTER_NEAREST?- 最邻近插值
INTER_LINEAR?- 双线性插值 默认
INTER_AREA?- resampling using pixel area relation.
INTER_CUBIC?-?4x4像素邻域内的双立方插值
INTER_LANCZOS4?-?8x8像素邻域内的Lanczos插值
width = 900
height = 600
resize = cv2.resize(img, (width,height))
imshow(resize)

可以看出,缩放方法造成了图像的失真,而且是严重失真,其优点也是速度极快,几乎不消耗资源。
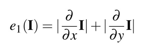
这是本文重点介绍的算法,主要思想是图像总有一些不重要的列,将其删除比删除随机的列或者重新填充要更保留图像的细节部分,同时确保图像整体不严重失真(这里的列不是数组意义上的列,是图像中八联通的一条线,即一条接缝)。
能量图就是图像的边缘啦,相当于图像的细节,这里使用偷懒的卷积实现。

卷积核是这两个:

def cal_energy(img):
filter_du = np.array([
[1.0, 2.0, 1.0],
[0.0, 0.0, 0.0],
[-1.0, -2.0, -1.0],
])
filter_du = np.stack([filter_du] * 3, axis=2)
filter_dv = np.array([
[1.0, 0.0, -1.0],
[2.0, 0.0, -2.0],
[1.0, 0.0, -1.0],
])
filter_dv = np.stack([filter_dv] * 3, axis=2)
img = img.astype('float32')
convolved = np.absolute(convolve(img, filter_du)) + np.absolute(convolve(img, filter_dv))
energy_map = convolved.sum(axis=2)
return energy_map
energy_map = cal_energy(img)
print(energy_map.shape)
imshow(energy_map)

卷积核是两个,分别从行和列上进行卷积操作。
这里是用了偷懒的卷积操作,对图像所有像素点做卷积运算,相当于如下C艹代码:
Mat compute_score_matrix(Mat energy_matrix)
{
Mat score_matrix = Mat::zeros(energy_matrix.size(), CV_32F);
score_matrix.row(0) = energy_matrix.row(0);
for (int i = 1; i < score_matrix.rows; i++)
{
for (int j = 0; j < score_matrix.cols; j++)
{
float min_score = 0;
// Handle the edge cases
if (j - 1 < 0)
{
std::vector<float> scores(2);
scores[0] = score_matrix.at<float>(i - 1, j);
scores[1] = score_matrix.at<float>(i - 1, j + 1);
min_score = *std::min_element(std::begin(scores), std::end(scores));
}
else if (j + 1 >= score_matrix.cols)
{
std::vector<float> scores(2);
scores[0] = score_matrix.at<float>(i - 1, j - 1);
scores[1] = score_matrix.at<float>(i - 1, j);
min_score = *std::min_element(std::begin(scores), std::end(scores));
}
else
{
std::vector<float> scores(3);
scores[0] = score_matrix.at<float>(i - 1, j - 1);
scores[1] = score_matrix.at<float>(i - 1, j);
scores[2] = score_matrix.at<float>(i - 1, j + 1);
min_score = *std::min_element(std::begin(scores), std::end(scores));
}
score_matrix.at<float>(i, j) = energy_matrix.at<float>(i, j) + min_score;
}
}
return score_matrix;
}
卷积之后的图像即为愿图像的能量图,代表了图像的细节部分,即更锋利的边缘,该算法认为平坦的部分能量更低,自己实验一下就能明白,一方面有效保留了图像中的细节部分,另一方面可能造成算法错误的删除了图像的重要部分,如雪白平坦的胸部等。
图像的接缝就是一个八联通的线,每行有且只能选取一个像素,这里使用动态规划,回溯法求解,dp转移方程如下:
def minimum_seam(img):
r, c, _ = img.shape
energy_map = cal_energy(img)
M = energy_map.copy()
backtrack = np.zeros_like(M, dtype=np.int)
for i in range(1, r):
for j in range(c):
if j == 0:
idx = np.argmin(M[i - 1, j:j + 2])
backtrack[i, j] = idx + j
min_energy = M[i - 1, idx + j]
else:
idx = np.argmin(M[i - 1, j - 1:j + 2])
backtrack[i, j] = idx + j - 1
min_energy = M[i - 1, idx + j - 1]
M[i, j] += min_energy
return M, backtrack
M, backtrack = minimum_seam(img)
imshow(M)

图像的接缝由dp求出,可以看出这个算法是十分慢的,同时因为损失最小的接缝被删掉后,该接缝涉及到的左右两侧的损失不能直接复用,必须重新计算,进一步减慢了算法的执行速度。
接缝都求出来了,很明显裁剪的那一列就应该是损失最小的接缝,删除方法使用numpy的黑科技argmin()。
def carve_column(img):
r, c, _ = img.shape
M, backtrack = minimum_seam(img)
mask = np.ones((r, c), dtype=np.bool)
j = np.argmin(M[-1])
for i in reversed(range(r)):
mask[i, j] = False
j = backtrack[i, j]
mask = np.stack([mask] * 3, axis=2)
img = img[mask].reshape((r, c - 1, 3))
return img
for i in trange(100):
one = carve_column(img)
imshow(one)

这里模拟删除图像中100列之后的情况。
这里把函数参数改为缩放倍数,其实也可以写为删除列数,都一样,符合人类直觉即可。
def crop_c(img, scale_c):
r, c, _ = img.shape
new_c = int(scale_c * c)
for i in trange(c - new_c):
img = carve_column(img)
return img
crop = crop_c(img, 0.8)
imshow(crop)

注意这张图没使用原尺寸进行运算,6小时实在难等。
可以看到,原图像在被接缝裁剪后,保留了本身的细节,未引入大面积失真,缺点是慢!慢!慢!测试图像是一个4K的图像,运算删除一列需要30s,删除20%的列就是768列,总计用时6小时!这样处理图片的速度估计没人可以接受吧。
很明确了,翻转一下行不就变成列了,复用一下就ok。
def crop_r(img, scale_r):
img = np.rot90(img, 1, (0, 1))
img = crop_c(img, scale_r)
img = np.rot90(img, 3, (0, 1))
return img
crop = crop_r(img, 0.8)
imshow(crop)
至于图像效果,此处就不运行了,这个算法忒慢了。

理解了原算法之后这就很容易理解了,将能量图中需要重点保留的东西能量加高,需要删除的东西能量减低,利用蒙版(mask)即可快速实现目标移除的效果,这里直接贴原论文的效果图喽。
根据保密协定,DL部分代码暂不贴出,我才不会说我还没看懂呢(
Image-Processing-OpenCV
Implementing Seam Carving with Python
Seam carving--让图片比例随心缩放
Image Retargeting - 图像缩略图 图像重定向
原文:https://www.cnblogs.com/licsber/p/image-retargeting.html