导数公式:

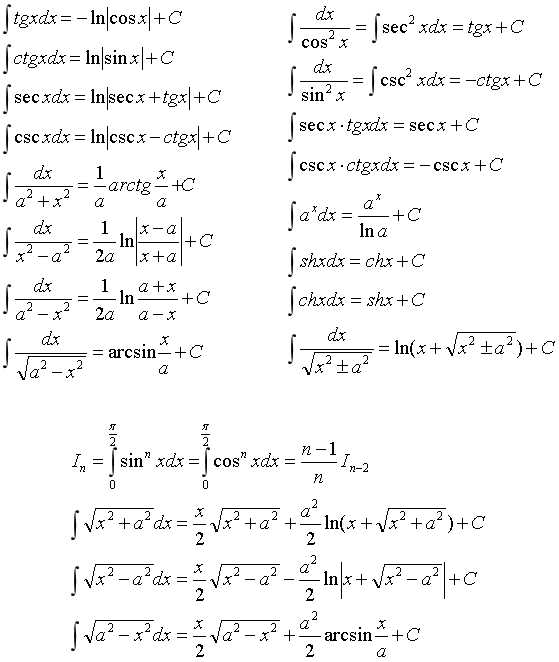
基本积分表:

三角函数的有理式积分:

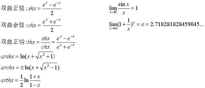
一些初等函数: 两个重要极限:

三角函数公式:
·诱导公式:
|
函数 角A |
sin |
cos |
tg |
ctg |
|
-α |
-sinα |
cosα |
-tgα |
-ctgα |
|
90°-α |
cosα |
sinα |
ctgα |
tgα |
|
90°+α |
cosα |
-sinα |
-ctgα |
-tgα |
|
180°-α |
sinα |
-cosα |
-tgα |
-ctgα |
|
180°+α |
-sinα |
-cosα |
tgα |
ctgα |
|
270°-α |
-cosα |
-sinα |
ctgα |
tgα |
|
270°+α |
-cosα |
sinα |
-ctgα |
-tgα |
|
360°-α |
-sinα |
cosα |
-tgα |
-ctgα |
|
360°+α |
sinα |
cosα |
tgα |
ctgα |
·和差角公式: ·和差化积公式:

·倍角公式:

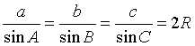
·正弦定理:
·余弦定理: 
·反三角函数性质:
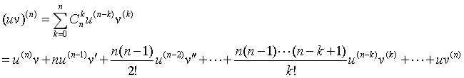
高阶导数公式——莱布尼兹(Leibniz)公式:
中值定理与导数应用:

曲率:

原文:https://www.cnblogs.com/SkystarX/p/12285961.html