区别:
1) 二叉树的深度优先遍历的非递归的通用做法是采用栈,广度优先遍历的非递归的通用做法是采用队列。
2) 深度优先遍历:对每一个可能的分支路径深入到不能再深入为止,而且每个结点只能访问一次。要特别注意的是,二叉树的深度优先遍历比较特殊,可以细分为先序遍历、中序遍历、后序遍历。具体说明如下:
广度优先遍历:又叫层次遍历,从上往下对每一层依次访问,在每一层中,从左往右(也可以从右往左)访问结点,访问完一层就进入下一层,直到没有结点可以访问为止。
3)深度优先搜素算法:不全部保留结点,占用空间少;有回溯操作(即有入栈、出栈操作),运行速度慢。
广度优先搜索算法:保留全部结点,占用空间大; 无回溯操作(即无入栈、出栈操作),运行速度快。
通常 深度优先搜索法不全部保留结点,扩展完的结点从数据库中弹出删去,这样,一般在数据库中存储的结点数就是深度值,因此它占用空间较少。
所以,当搜索树的结点较多,用其它方法易产生内存溢出时,深度优先搜索不失为一种有效的求解方法。
广度优先搜索算法,一般需存储产生的所有结点,占用的存储空间要比深度优先搜索大得多,因此,程序设计中,必须考虑溢出和节省内存空间的问题。
但广度优先搜索法一般无回溯操作,即入栈和出栈的操作,所以运行速度比深度优先搜索要快些

深度优先:
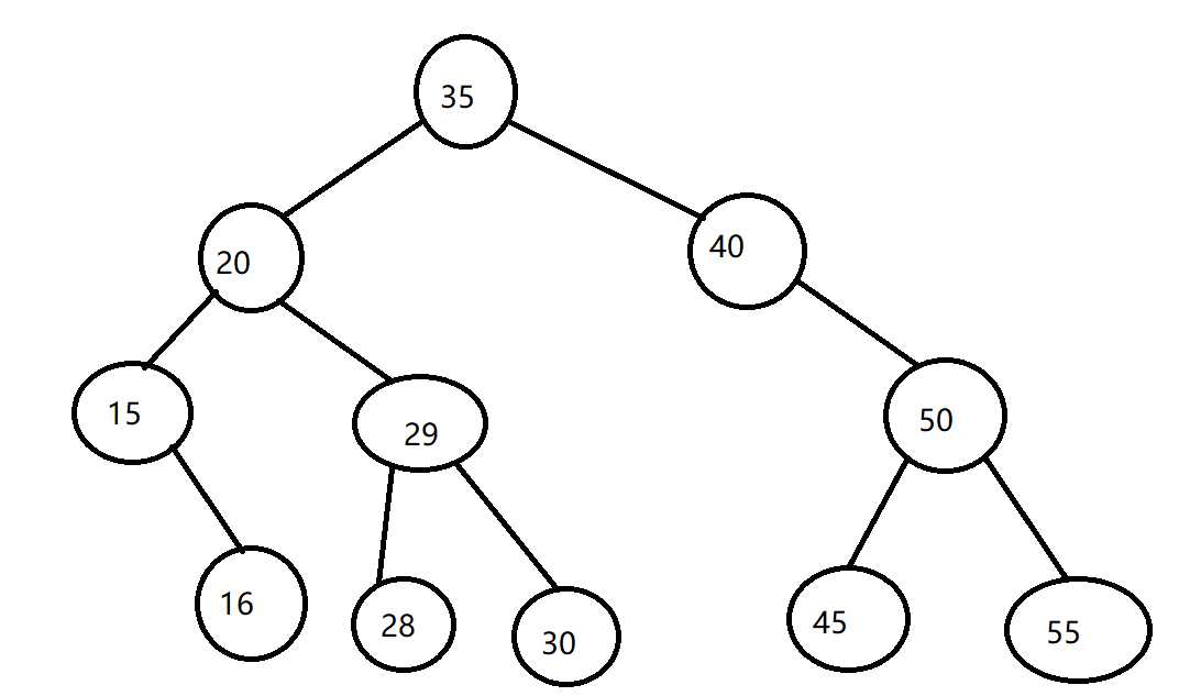
前序遍历:35,20,15,16,29,28,30,40,50,45,55
中序遍历:15,16,20,28,29,30,35,40,45,50,55
后序遍历:16,15,28,30,29,20,45,55,50,40,35
广度优先遍历:35 20 40 15 29 50 16 28 30 45 55
代码:
package www.hhy; import java.beans.beancontext.BeanContextChild; import java.util.*; class Binarytree { class TreeNode{ int value; TreeNode left; TreeNode right; public TreeNode(int value) { this.value = value; } } //用递归创建二叉树 public int i = 0; TreeNode creatTesttree(String s){ TreeNode root = null; if (s.charAt(i)!=‘#‘) { root = new TreeNode(s.charAt(i)); i++; root.left = creatTesttree(s); root.right = creatTesttree(s); } else{ i++; } return root; } //二叉树的前序遍历递归 void binaryTreePrevOrder(TreeNode root){ if(root==null){ return; } System.out.println(root.value+" "); binaryTreePrevOrder(root.left); binaryTreePrevOrder(root.right); } //二叉树的中序遍历递归 void binaryTreeInOrder(TreeNode root){ if(root==null){ return; } binaryTreeInOrder(root.left); System.out.println(root.value+" "); binaryTreeInOrder(root.right); } //二叉树的后续遍历递归 void binaryTreePostOrder(TreeNode root){ if(root==null){ return; } binaryTreePostOrder(root.left); binaryTreePostOrder(root.right); System.out.println(root.value+" "); } //层序遍历 void binaryTreeLevelOrder(TreeNode root,int level){ if(root ==null||level<1){ return; } if(level==1){ System.out.print(root.value+" "); } binaryTreeLevelOrder(root.left,level-1); binaryTreeLevelOrder(root.right,level-1); } void BTreeLevelOrder(TreeNode root) { if (root == null) return; int dep = getHeight(root); for (int i = 1; i <= dep; i++) { binaryTreeLevelOrder(root,i); } } //二叉树的层序遍历 非递归 void binaryTreeLevelOrder(TreeNode root) { Queue<TreeNode> queue = new LinkedList<>(); if(root != null) { queue.offer(root); //LinkedList offer add } while (!queue.isEmpty()) { //1、拿到队头的元素 把队头元素的左右子树入队 TreeNode cur = queue.poll(); System.out.print(cur.value+" "); //2、不为空的时候才能入队 if(cur.left != null) { queue.offer(cur.left); } if(cur.right != null) { queue.offer(cur.right); } } } //二叉树的前序遍历非递归 void binaryTreePrevOrderNonR(TreeNode root){ Stack<TreeNode> stack = new Stack<>(); TreeNode cur = root; TreeNode top = null; while (cur != null || !stack.empty()) { while (cur != null) { stack.push(cur); System.out.print(cur.value + " "); cur = cur.left; } top = stack.pop(); cur = top.right; } System.out.println(); } //二叉树的中序遍历非递归 void binaryTreeInOrderNonR(TreeNode root){ Stack<TreeNode> stack = new Stack<>(); TreeNode cur = root; TreeNode top = null; while (cur != null || !stack.empty()) { while (cur != null) { stack.push(cur); cur = cur.left; } top = stack.pop(); System.out.print(top.value+" "); cur = top.right; } System.out.println(); } //二叉树的后序遍历非递归 void binaryTreePostOrderNonR(TreeNode root) { Stack<TreeNode> stack = new Stack<>(); TreeNode cur = root; TreeNode prev = null; while (cur != null || !stack.empty()) { while (cur != null) { stack.push(cur); cur = cur.left; } cur = stack.peek();//L D //cur.right == prev 代表的是 cur的右边已经打印过了 if(cur.right == null || cur.right == prev) { stack.pop(); System.out.println(cur.value); prev = cur; cur = null; }else { cur = cur.right; } } } //二叉树的节点个数递归 int getSize(TreeNode root){ if(root==null){ return 0; } return getSize(root.left)+getSize(root.right)+1; } //二叉树的叶子节点的个数递归 int getLeafSize(TreeNode root){ if(root==null){ return 0; } if(root.left==null && root.right==null){ return 1; } return getLeafSize(root.left)+getLeafSize(root.right); } //二叉树得到第K层结点的个数 int getKlevelSize(TreeNode root ,int k){ if(root==null){ return 0; } if(k == 1){ return 1; } return getKlevelSize(root.left,k-1)+getKlevelSize(root.right,k-1); } //二叉树查找并返回该结点递归 // 查找,依次在二叉树的 根、左子树、 // 右子树 中查找 value,如果找到,返回结点,否则返回 null TreeNode find(TreeNode root, int value){ if(root == null) { return null; } if(root.value == value){ return root; } TreeNode ret = find(root.left,value); if(ret != null) { return ret; } ret = find(root.right,value); if(ret != null) { return ret; } return null; } //二叉树的高度 int getHeight(TreeNode root){ if(root==null){ return 0; } int leftHeight = getHeight(root.left); int rightHeight = getHeight(root.right); return leftHeight>rightHeight ? leftHeight+1:rightHeight+1; } //判断一个树是不是完全二叉树 public int binaryTreeComplete(TreeNode root) { Queue<TreeNode> queue = new LinkedList<TreeNode>(); if(root != null) { queue.add(root);//offer } while(!queue.isEmpty()) { TreeNode cur = queue.peek(); queue.poll(); if(cur != null) { queue.add(cur.left); queue.add(cur.right); }else { break; } } while(!queue.isEmpty()) { TreeNode cur = queue.peek(); if (cur != null){ //说明不是满二叉树 return -1; }else{ queue.poll(); } } return 0;//代表是完全二叉树 } //检查两棵树是否是相同的,如果两棵树结构相同,并且在结点上的值相同,那么这两棵树是相同返回true public boolean isSameTree(TreeNode p,TreeNode q){ if((p==null&&q!=null)||(p!=null&&q==null)){ return false; } if(p==null && q==null){ return true; } if(p.value!=q.value){ return false; } return isSameTree(p.left,q.left)&&isSameTree(p.right,q.left); } //检查是否为子树 public boolean isSubTree(TreeNode s,TreeNode t){ if(s==null||t==null){ return false; } if(isSameTree(s,t)){ return true; } else if (isSubTree(s.left,t)){ return true; } else if(isSubTree(s.right,t)){ return true; } else{ return false; } } //1.判断是否为平衡二叉树,左右子树的高度之差不超过 "1"(大根本身是平衡二叉树,左右子树也必须是平衡二叉树) // 时间复杂度为n^2 //2.求复杂度为O(n)的解法 public boolean isBanlanced(TreeNode root){ if(root==null){ return true; } else{ int leftHeight = getHeight(root.left); int rightHeight = getHeight(root.right); return Math.abs(leftHeight-rightHeight)<2 &&isBanlanced(root.left) &&isBanlanced(root.right); } } //判断是否为对称二叉树 public boolean isSymmetric(TreeNode root){ if(root==null){ return true; } return isSymmetric(root.left,root.right); } public boolean isSymmetric(TreeNode lefttree,TreeNode righttree){ if((lefttree==null && righttree!=null)||(lefttree!=null && righttree ==null)){ return false; } if(lefttree == null && righttree == null){ return true; } return lefttree.value == righttree.value && isSymmetric(lefttree.left,righttree.right) && isSymmetric(lefttree.right,righttree.left); } //二叉树创建字符串 非递归写法 public String tree2str(TreeNode t){ StringBuilder sb = new StringBuilder(); tree2strchild(t,sb); return sb.toString(); } public void tree2strchild(TreeNode t ,StringBuilder sb){ if (t==null){ return; } sb.append(t.value); if (t.left!=null){ sb.append("("); tree2strchild(t.left,sb); sb.append(")"); } else { if (t.right==null){ } } } //二叉树字符串 递归写法 public String CreateStr(TreeNode t){ if(t==null){ return ""; } if(t.left==null&&t.right==null){ return t.value+""; } if(t.left==null){ return t.value+"()"+"("+CreateStr(t.right)+")"; } if(t.right==null){ return t.value+"("+CreateStr(t.left)+")"; } return t.value+"("+CreateStr(t.left)+")"+"("+CreateStr(t.right)+")"; } public int rob(TreeNode root) { if (root == null) return 0; return Math.max(robOK(root), robNG(root)); } private int robOK(TreeNode root) { if (root == null) return 0; return root.value + robNG(root.left) + robNG(root.right); } private int robNG(TreeNode root) { if (root == null) return 0; return rob(root.left) + rob(root.right); } //二叉树的公共祖先 public TreeNode lowestCommonAncestor(TreeNode root, TreeNode p, TreeNode q) { if(root==null){ return null; } if(root==p||root==q){ return root; } TreeNode leftTree = lowestCommonAncestor(root.left,p,q); //p||q null TreeNode rightTree = lowestCommonAncestor(root.right,p,q); //p||q null //3 if(leftTree!=null && rightTree!=null){ return root; } //左边找到 else if (leftTree!=null ){ return leftTree; } //右边找到 else if(rightTree!=null){ return rightTree; } //都没找到的情况下 return null; } //二叉搜索树,若他的左子树不为空,左子树上的所有节点都小于根节点, //如果他的右子树不为空,右子树上的所有节点都大于根节点 //最终他的中序排列都是有序结果 //输入一棵二叉搜索树,将该二叉搜索树转换成一个排序的双向链表。 // 要求不能创建任何新的结点,只能调整树中结点指针的指向。 TreeNode prev = null; public void ConvertChild(TreeNode pCur) { if(pCur == null) { return ; } ConvertChild(pCur.left); pCur.left = prev; if(prev != null) prev.right = pCur; prev = pCur; ConvertChild(pCur.right); } public TreeNode Convert(TreeNode pRootOfTree) { ConvertChild(pRootOfTree); TreeNode head = pRootOfTree; while(head != null&& head.left != null) { head = head.left; } return head; } //给定一个二叉树的前序遍历和中序遍历,确定一棵二叉树 /** * Definition for a binary tree node. * public class TreeNode { * int val; * TreeNode left; * TreeNode right; * TreeNode(int x) { val = x; } * } */ /** * Definition for a binary tree node. * public class TreeNode { * int val; * TreeNode left; * TreeNode right; * TreeNode(int x) { val = x; } * } */ public TreeNode build(int[] preorder, int[] inorder, int inbegin,int inend) { int preindex = 0; //当前树 根本没有左子树或者是右子树 if(inbegin > inend) { return null; } //根据前序遍历,确定根节点 TreeNode root = new TreeNode(preorder[preindex]); //在中序遍历里面 找到根节点的下标 int rootIndex = indexOfInorder(inorder,preorder[preindex],inbegin, inend); preindex++; root.left = build(preorder,inorder,inbegin,rootIndex-1); root.right = build(preorder,inorder,rootIndex+1,inend); return root; } public int indexOfInorder(int[] inorder,int val,int inbegin,int inend) { for(int i = inbegin;i <= inend;i++) { if(inorder[i] == val) { return i; } } return -1; } public TreeNode buildTree(int[] preorder, int[] inorder) { if(preorder.length == 0 || inorder.length == 0) { return null; } return build(preorder,inorder,0,inorder.length-1); } //根据一棵树的中序遍历与后序遍历构造二叉树 } class Test{ public static void main(String[] args) { Binarytree binarytree =new Binarytree(); Binarytree.TreeNode root =// binarytree.creatTesttree("ABC##DE#G##F###"); binarytree.creatTesttree("AB##C##"); binarytree.BTreeLevelOrder(root); System.out.println(); System.out.println("-----------------"); binarytree.binaryTreePrevOrder(root); } }

原文:https://www.cnblogs.com/hetaoyuan/p/12286495.html