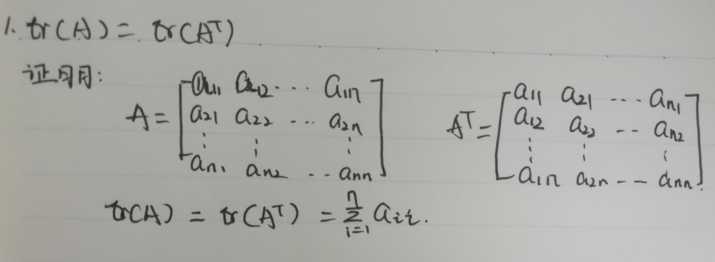
1、矩阵的迹:
定义:
线性代数中,n乘n方阵A的迹,是指A的主对角线各元素的总和(从左上方至右下方的对角线),比如:

性质以及证明:
1、矩阵的迹等于特征值的和
特征值和特征向量
定义:
线性代数中,对于一个给定的矩阵A,它的特征向量x,经过这个线性变换之后,得到的新向量
仍然与原来的x保持在同一条直线上,但其长度或方向也许会改变。即
,其中![]()
为标量,即特征向量的长度在该线性变换下缩放的比例,称
为其特征值。如果特征值为正,则表示在经过线性变换的作用后方向也不变;如果特征值为负,说明方向会反转;如果特征值为0,则是表示缩回零点。
求解:

得到
以后:
带入:
![]()
找出非0解就是特征向量了。
计算示例:

2、

3、

4、

5、
原文:https://www.cnblogs.com/wjjcjj/p/12335670.html