一。函数的定义和使用
1.定义:函数是一段代码的表示,
-函数是一段具有特定功能的、可重用的语句组
-函数是一种功能的抽象,一般函数表达特定功能
-两个作用:降低编程难度和代码复用
def <函数名>(<参数(0个或多个)>):
<函数体>
return <返回值>
函数定义后若不经过调用则不会执行。
2.调用:运行函数代码的方式
-调用时要给出实际参数
-实际参数替换定义中的参数
-函数调用后得到返回值

3.函数参数的传递
1.参数个数,可为0也可为多个,但必须保留括号

2.可选参数传递:定义时可以为某些参数指定默认值,构成可选参数


3.可变参数传递:函数定义时可以设计可变数量参数,既不确定参数总数量


4.参数传递的两种方式:位置传递/名称传递

4.局部变量和全局变量


规则1:局部变量和全局变量是不同的变量
-局部变量是函数内部的占位符,与全局变量可能重名但不同
-函数运算结束后,局部变量被释放
-可以使用global保留字在函数内部使用全局变量

规则2:局部变量为组合数据类型且未创建,等同于全局变量

对比:
5.lambda函数:匿名函数,没有名字的函数。用于定义简单的、能在一行内表示的函数


二、代码复用与函数递归
代码复用:把代码当成资源进行抽象。在需要时可以被重复使用
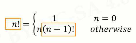
递归的定义:函数定义中调用自身函数的方式,如:



原文:https://www.cnblogs.com/ShallByeBye/p/12464011.html