姓名:周曼洁
实验地点:家
实验时间:2020.03.12
1、掌握自增++、自减--运算符的正确使用。
2、掌握基本的输入/输出函数的基本功能、调用方法、输入/输出格式控制规定等。
3、掌握结构化程序的算法描述方法
4、熟练掌握C语言的运算符,即运算符的优先级和结核性、运算规则、运算对象类型等。
1问题的简单描述:无
2实验代码:
#include<stdio.h>
main()
{
int a,b,c,d;
printf("请输入一个大写字母:\n");
scanf("%c",&a);
b=a+32;
c=b-1;
d=b+1;
printf("小写字母为:%c,%C,%C\n",c,b,d);
printf("ASCII码的值为:%d,%d,%d",c,b,d);
}
3问题分析:注(大小写字母之间相差32)
1问题的简单描述:取整数和取余数的使用
2实验代码:
#include<stdio.h>
main()
{
int a,b,c,x,y;
printf("请输入一个三位数的整数:\n");
scanf("%d",&x);
a=x/100;
b=x%100/10;
c=x%10;
y=c*100+b*10+a;
printf("%d:%d\n",x,y);
return 0;
}
3问题分析:注意使用%,/。
1问题的简单描述:输入法的切换
2实验代码:
#include<stdio.h>
main()
{
float a,b,c,d,x,y,z,m,n; /*a表示西药费,b表示检查费,c表示材料费,d表示床位费,x表示观察费,y表示护理费,z表示病人所付款数,m表示应付款数,n表示应找回金额*/
printf("请输入西药费,检查费,材料费,床位费,观察费,护理费:\n");
scanf("%f,%f,%f,%f,%f,%f",&a,&b,&c,&d,&x,&y);
m=a+b+c+d+x+y;
printf("应付款数(元):%.2f",m);
printf("病人付款(元):");
scanf("%f",&z);
n=z-m;
printf("计算结果:");
printf("病人付款=%6.2f元\n应收款=%6.2f元,应找回=%6.2f元\n",z,m,n);
return 0;
}
3问题分析:文字后输入逗号需要切换英文输入法
1问题的简单描述:无
2实验代码:
#include<stdio.h>
main()
{
float x,y;
printf("请输入x的值:");
scanf("%f",&x);
if(x<1)y=x;
else if (1<x&&x<10)y=2*x-1;
else if(x>10)
y=3*x-1;
printf("y的值域为%.2f\n",y);
}
3问题分析:无
4流程图:

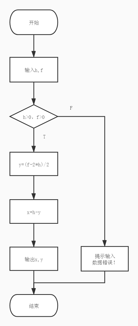
1问题的简单描述:需要进行变量的整型定义
2实验代码:
#include<stdio.h>
main()
{
int h,f,x,y;
printf("鸡和兔的总数,鸡和兔脚的总数:");
scanf("%d,%d",h,f);
if(h>0&&f>0)
{
x=(4*h-f)/2;
y=(f-2*h)/2;
printf("鸡有%d只 兔有%d只\n",x,y);
}
else
{
printf("数值错误!\n");
}
return 0;
}
3问题分析:数值会存在错误情况
4流程图:

1问题的简单描述:float
2实验代码:
#include<stdio.h>
#include<math.h>
main()
{
int h=10;
float x1=1,y1=2,x2=-2,x3=-2,y2=2,y3=-2,x4=2,y4=-2,x,y,d1,d2,d3,d4;
printf("请输入一个(x,y):");
scanf("%f,%f",&x,&y);
d1=sqrt((x-x1)*(x-x1)+(y-y1)*(y-y1));
d2=sqrt((x-x2)*(x-x2)+(y-y2)*(y-y2));
d3=sqrt((x-x3)*(x-x3)+(y-y3)*(y-y3));
d4=sqrt((x-x4)*(x-x4)+(y-y4)*(y-y4));
if(d1>1&&d2>1&&d3>1&&d4>1)
h=0;
else h=10;
printf("该塔的高度为%d",h);
}
3问题分析:需要对每一个变量进行分开定义,并且用到了函数。
在这次实验中,学习了MACKDOWN的使用,并且在其中加入了流程图也出现了一些问题,例如中英文的输入法切换等,还熟悉了对函数的使用。
原文:https://www.cnblogs.com/absolutely-123/p/12468116.html