Introduction
(1)Motivation:
解决跨模态reid的方法主要有两类:模态共享特征学习(modality-shared feature learning)、模态特定特征补偿(modality-specific feature compensation)。模态共享特征学习旨在将不同模态的图片映射到同一个特征空间,但这种方法的性能受限,一些特定的信息(如RGB的颜色、IR的热度)被当做冗余信息;模态特定特征补偿旨在对某一模态缺失的特征信息进行补偿(可以采用GAN),但GAN在IR图像生成彩色的补偿方案有多种,很难得到正确的颜色补偿。
(2)Contribution:
为了解决上述两种方法的缺陷,作者提出一个特定跨模态特征转换算法(cross-modality shared-specific feature transfer algorithm,cm-SSFT)。每个样本接受临近样本的模态特征,同时将自身的模态特征分享出去。方法的创新点如下图:

Cross-Modality Shared-Specific Feature Transfer
(1)框架:

定义:R:RGB modality;I:IR modality;S:shared space; H:shared features;P:specific features。
(2)Two-stream feature extractor:
输入的图像为:
,通过卷积神经网络提取到特征:
![]()
为了确保两类特征都具有较好的判别性,分类损失函数为:
![]()
其中
为输入的
属于标签
的概率。
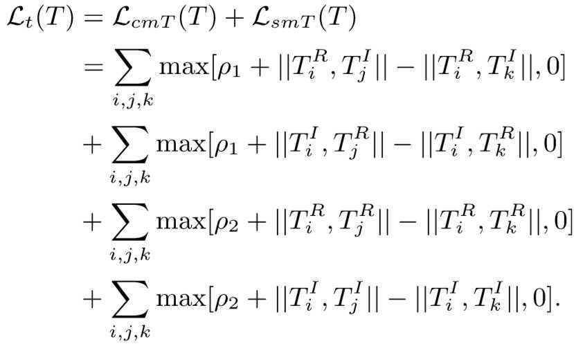
单模态三元组损失以及交叉模态三元组损失:

(3)Shared-specific transfer network:
RGB和IR模态的特征进行级联,得到统一规格的特征[RGB特征;共享特征;IR特征],认为每一个样本都有三段特征。只是对于RGB样本,其IR特异部分是0。同样对于IR样本,RGB特异部分是0:
![]()
受到GCN(graph convolutional network)的启发【待阅读】,进行特征融合。
① 亲和力模型:
表示相同模态之间的亲和力,i 和 j 都属于模态 m,即
;
表示不同模态之间的亲和力,i 和 j 属于不同的模态,即![]()
距离计算方法为正规化欧式距离:

亲和力矩阵:

其中
说最邻近选择函数,每一行都选择最大的k个值,其余设置为0(这里选择距离值最大的是因为距离函数的定义,值越大距离越近)。亲和力矩阵可以看做是权重,相似度越大,距离越小,权重越大。
② 信息传播:
将RGB、IR的三段特征级联,得到特征矩阵:

加权过程:

其中 D 为 A 进行对角求和得到的对角矩阵
(为什么要求D?),W 为参数矩阵。
理解:A 的每一行都表示该图片特征与其它RGB、IR图片特征的相似度权重,Z 的每一列都表示RGB、IR图片的特征,A 和 Z 的相乘,计算得到的每个元素都是权重 A 对 特征 Z 的加权结果。
提取得到最终特征:

损失函数类似上面,分为两种,分类损失和三元组损失:
![]()

③ 互补学习:
由于共享特征和模态特定特征的叠加依然会影响效果。作者提出了模态自适应来从共享特征中筛选出特定特征。
strategy 1:
作者采用了生成对抗的策略,来使得共享特征尽量同特定特征不相关。通过三个全连接层实现模态判别器,用来判别共享特征的模态:
![]()
其中
为特征
属于模态 m 的概率。
判别器尽量区别出共享特征的模态,生成器尽量生成共享特征来骗过判别器(尽量大)。
strategy 2:
为了使特定特征区别于共享特征,作者提出了投影对抗策略,将特定特征投影到共享特征中,损失函数如下:
![]()
在生成阶段尽量将投影差距扩大,但在对抗阶段尽量将投影差距减小。
strategy 3:
前两部分学习到了共享特征和特定特征之间不包含相互关联的信息,为了增强这两个特征的完整性,我们在每个模态的特征之后使用一个解码器网络来重建输入,即:
![]()
重构损失为:
![]()
(4)优化:
特征学习的损失函数为:

![]()
生成对抗的min-max部分:
![]()
优化步骤:

Experiments



论文阅读笔记(二十九)【CVPR2020】:Cross-modality Person re-identi?cation with Shared-Speci?c Feature Transfer
原文:https://www.cnblogs.com/orangecyh/p/12531521.html