比起共基放大电路,共射放大电路稍微要复杂一些,有若干种偏置形式,但万变不离其宗,分析的基本原理都是一致的,本小节我们对三种典型的共射偏置形式进行交流分析,分别是:固定偏置、射极偏置(改进的固定偏置)、分压偏置。
固定偏置的共射放大电路如下图所示:

图4-6.01
注意在上图中的各个电压电流符号,有的仅含小信号交流分量,有的同时包含小信号交流分量和直流分量。集电极电阻RC起到了负载电阻的作用,故输出电流io从RC上通过。而C2的作用仅在于隔离直流取出交流输出电压vo,并无电流通过。而且从上图可以很明显的看出,输入电流ii就等于基级电流的交流电流ib,输出电流io就等于集电极电流的交流分量ic。
在交流分析中,电容C1和C2可视为短路,直流电压源可视为直接通地,将上图中的BJT晶体管替换成re等效模型后的交流等效电路如下图所示(注意下图中的所有电量符号都变成了交流的相量形式):

图4-6.02
● 输入阻抗:
从上图中可以很容易地看出,输入阻抗为:

在固定偏置情况下,由于基级电流非常微小,所以一般会将RB配得比较大(通常为几百kΩ左右),大多数情况下都会大于10倍的βre,因此在一些要求不高的场合下,可忽略RB而认为输入阻抗近似为:

● 输出阻抗:
前一小节我们说过,在共射组态中,BJT晶体管的固有输出电阻ro大约为几十kΩ级,一般不能忽略不计,故在上图的等效电路中画出了ro的存在。当输入Vi=0时,Ib=0,受控电流源βIb=0,可视为开路,因此输出阻抗为:

但是,有时在配置集电极电阻RC时,如果将RC的值选取得比较小,当RC的值小于10倍的ro时,这时可将ro近似看作开路,而近似忽略ro的存在。

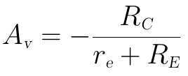
● 电压放大倍数:
输入电压Vi和输出电压Vo的表达式分别为:

电压放大倍数为:

和前面类似,当RC的值取得比较小时,电压放大倍数可近似为:

上式中的负号表明,输出电压和输入电压的反向,或者称:输出信号和输入信号之间存在180°的相移。
案例4-6-1:对于下图的固定偏置共射放大电路,使用re等效模型试求:(1)re的值;(2)输入阻抗Zi;(3)输出阻抗Zo(对ro=∞和ro=50kΩ两种情况分别求值);(4)电压放大倍数Av(对ro=∞和ro=50kΩ两种情况分别求值)。

图4-06.a1
解:(1)re的值由流过三极管发射结的静态工作电流(即IE)决定:



(2)先求βre:

输入阻抗Zi为:

可见,当RB取值为几百kΩ时,RB对输入阻抗的影响及其微小。
(3)当ro=∞时,输出阻抗Zo为:

当ro=50kΩ时,输出阻抗Zo为:

比较可见,当计入ro的影响时,输出阻抗会略为减小。
(4)当ro=∞时,电压放大系数Av为:

当ro=50kΩ时,电压放大系数Av为:

比较可见,当计入ro的影响时,电压放大倍数会有所减小。
我们曾在共射放大电路的直流分析章节讲过,在固定偏置的发射极增加一个射极电阻RE,可以大大提高电路的稳定性,这种改进的固定偏置形式也称为射极偏置。本小节我们就对射极偏置电路进行交流分析。
下图是一个射极偏置共射放大电路的基本电路:

图4-06.03
将上图中的BJT晶体管替换成re等效模型后的交流等效电路如下图所示:

图4-06.04
上图中,为分析简便起见,我们先不考虑输出电阻ro的影响,将其视为无穷大(因为在有射极电阻RE的情况下,在re模型中加上ro后,会使电路的计算复杂度大大增加,不利于我们概念的说明,后文我们会专门讨论当考虑ro的影响时如何计算)。
● 输入阻抗:
这里输入阻抗直接用Vi/Ii的公式进行强推比较困难,我们可以先作一下变通,先求出不含RB时,直接从BJT输入端看入的“仅BJT的输入阻抗”Zb,然后再用Zb和RB并联即可得到整个电路的输入阻抗Zi。
对BJT的输入端列写KVL方程可得:

则从BJT输入端看入的等效电阻Zb为:

通常RE为kΩ级,远大于几个欧姆级的re,如果需要的话,上式可进一步近似为:

算出Zb后,输入阻抗为RB和Zb的并联:

● 输出阻抗:
当不考虑ro的影响时,输出阻抗的计算比较简单。当输入Vi=0时,Ib=0,受控电流源βIb=0,可视为开路,因此输出阻抗即为:

● 电压放大倍数:
方法和前面类似,我们先算出输入电压Vi和输出电压Vo的表达式:

电压放大倍数即为:

当RE≥10re时,上式可进一步近似为:

上式中的负号表明,输出电压和输入电压的反向,或者称:输出信号和输入信号之间存在180°的相移。
在上面的射极偏置电路中,我们观察电压放大倍数:

一般RC的选值为几个kΩ级(在案例4-6.a1中,RC=2kΩ),而RE一般会选取几百欧到kΩ级(比如选0.5kΩ),代入上式后计算得:

这样的电压放大倍数也太小了,非常不实用。
我们回忆一下直流分析时的情形,当时固定偏置电路的主要问题是静态工作点不稳,增加射极电阻的目的是为了提高电路的稳定性。但现在增加了射极电阻后,又发现射极电阻RE会导致(交流)电压放大倍数大为减小。
那么有什么办法可以解决这个问题么?答案是有的。人们对射极偏置电路进行了改进,在射极电阻旁增加了一个旁路电容,发明了“带射极旁路电容的射极偏置电路”,如下图所示:

图4-06.05
这时候你就会看到交直流分开的好处了:在直流分析时,由于电容的隔直属性,就好像电容CE不存在一样,可以尽享射极电阻RE带来的好处;在交流分析时,由于电容的交流短路属性,就好像射极电阻RE被射极旁路电容CE短路掉一样,因此交流电压放大倍数的计算式就成为了:

等于是消除了射极电阻RE对电压放大倍数带来的不利影响。
堪称精妙的设计!
案例4-6-2:对于下图的射极偏置共射放大电路,使用re等效模型试求:(1)re的值;(2)输入阻抗Zi;(3)输出阻抗Zo;(4)电压放大倍数Av(对不含和含有射极旁路电容两种情况分别求值)。

图4-06.a2
解:(1)re的值由流过三极管发射结的静态工作电流(即IE)决定:



(2)输入阻抗为RB和Zb的并联:


(3)输出阻抗为Zo为:

(4)不含射极旁路电容时,电压放大倍数为:

当含有射极旁路电容时,电压放大倍数为

两者比较一下就可看出,有射极旁路电容时,电压放大倍数明显增大。
射极偏置放大电路的一种改进型如下图所示:

图4-06.06
这样做的好处是,可以通过RE1的取值来更精确地调节电压放大倍数,这种改进型的射极偏置电路的电压放大倍数的计算式为:

可见,其改进后的电压放大倍数Av比无射极旁路电容时要大,比有射极旁路电容时要小,性能介于两者之间,比较折中。
前面的各个计算结果都为不考虑BJT固有输出电阻ro时的计算公式,一般情况下也够用了。本小节将展示一下,如果把ro考虑进去,计算过程会有多复杂。
提示:前方高能预警,看大量公式头晕者可跳过本小节,不影响后续章节的理解。不过,如果你耐心一点,愿意多用点草稿纸,一步步按步就搬地推算,其实也不难。
……
……
……
好,现在正式开始。当考虑输出电阻ro时,前面“图4-06.04”的re模型等效电路将变成如下形式:

图4-06.07
● 输入阻抗:
总输入阻抗的算法和前面类似,为RB和Zb的并联,但是Zb的的计算式将大为复杂。我们将上图中无关的部分略去,仅画出和计算Zb有关的部分:

图4-06.08
注意:在上图中,由于ro的存在,Ic不再严格等于βIb,而是等于βIb+Ix。回忆一下我们在第3章对β参数的定义:交流β参数近似等于直流β参数,但并不严格相等,原因就在这里。同样的,在这里Ie也不再严格等于(β+1)Ib,而是等于:(β+1)Ib+Ix。
我们先对KVL回路1列写方程式:

上式稍微归并一下可得:

然后对KVL回路2列写方程式:

将图中的Ic和Ie分别代入上式可得:

上式稍微归并一下可得:

将这个Ix代入上面KVL回路1的归并式,可得:

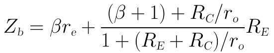
得到上式后,就可以利用Vi/Ib来计算BJT的输入阻抗Zb了,上式稍微化简一下可得:

这个就是考虑ro后的纯BJT输入阻抗Zb的表达式。然后再将这个值与RB并联,就可得到最终的输入阻抗Zi的完整表达式:

怎么样?是不是已经用掉几大张草稿纸了?然后我们考虑在什么情况下可以对Zb进行近似:
将Zb表达式右边的分式中的分子分母同时除以ro,可得:

由于RC一般为几个kΩ级、ro一般为几十个kΩ级,RC/ro通常远小于(β+1),故分子可近似为(β+1)。而RE一般为和RC为同一量级,若取10(RE+RC)≤ro时,分母可近似为1,故上式可近似为:

这个结果就是前面不考虑ro时的射极偏置得到的结果。
● 输出阻抗:
与计算输入阻抗类似,输出阻抗可以看作RC和Zc的并联,其中Zc为从BJT的集电极看入的纯BJT输出阻抗。同样的,Zc的计算也相当复杂,我们下面采用标准方法计算纯BJT的输出阻抗Zc:首先将输入端Vi短接,然后在输出端施加一个Uo的外电源,通过计算Uo/Io来计算Zc。
去掉无关部分的等效电路如下图所示:

图4-06.09
我们先对KVL回路1列写方程式:

将图中的Ie=Ib+Io代入上式可得:

将上式归并一下可得到Ib和Io的关系式:

然后对KVL回路2列写方程式:

将图中的Ix=Io-βIb代入上式可得:

再将前面算得得Ib与Io的关系式代入上式可得:

将上式中的Io移到等式右边,再进行一些归并,即可得到BJT的输出阻抗Zc:

这个就是考虑ro后的纯BJT输出阻抗Zc的表达式。然后再将这个值与RC并联,就可得到最终的输出阻抗Zo的完整表达式:

然后我们考虑在什么情况下可以对ZC进行近似:
在上式中,由于ro一般为几十kΩ级,而re为几个欧姆级,故Zc可近似为:

将上式右边的分式中的分子分母同除以β,可以得到:

通常1/β和re/RE都是比1小很多的小数,1除以这两个分式之和通常都会达到几十或几百,最终使得Zc为几十倍或几百倍的ro,因此Zo最终可近似为:

这个结果就是前面不考虑ro时的射极偏置得到的结果。
● 电压放大倍数:
电压放大倍数为Vo和Vi的比值,我们重画电路图如下:

图4-06.10
计算输入电压时,我们可利用先前算得的中间结果Zb:

输出电压为:

为使Vo与Vi可以相除时可以消去Ib和Io,我们还需要对KVL回路2列写方程式,以得到Ib和Io的关系式:

归并后可得:

因此,电压放大倍数为:

然后我们考虑近似情况,当ro≥10 (RC+RE)时,上式可近似为:

再前面算得的Zb的近似结果代入上式可得:

这个结果就是前面不考虑ro时的射极偏置得到的结果。
好了,这个就是考虑ro后的各个参数的计算过程,跟前面不考虑ro时的计算比起来是不是酸爽得多?其实,如果你以后有机会学一下初级数字信号处理(DSP)的内容的话,你会发现这些公式推导的工作量和那个比起来简直是小巫见大巫。
在复杂公式推导的过程中,上式和下式之间需要大量的传递抄写,最怕的就是抄错一个量,之后整个推导就会失败。所以,小学语文老师叫你字写得工整一点、好看一点,现在知道用处了吧,那个基础技能点掌握得好,对你后期攀升科技树其实是很有帮助的。
分压偏置的共射放大电路如下图所示:

图4-06.11
将上图中的BJT晶体管替换成re等效模型后的交流等效电路如下图所示(注意下图中的所有电量符号都变成了交流的相量形式):

图4-06.12
● 输入阻抗:
从上图可以很容易看出,输入阻抗为:

● 输出阻抗:
当将输入电压Vi置0时,Ib=0,受控电流源βIb=0,可视为开路,因此输出阻抗为:

当RC的值小于10倍的ro时,可作如下近似:

● 电压放大倍数:
输入电压Vi和输出电压Vo的表达式分别为:

电压放大倍数为:

当RC的值取得比较小时,电压放大倍数可近似为:

电压放大倍数的结果与“固定偏置”的结果完全相同。
欢迎关注本博公众号,可方便在手机端访问和索引本博技术文章:

( end of 4-6)
原文:https://www.cnblogs.com/initcircuit/p/12690693.html