
#include<stdio.h>
#include<stdlib.h>
//二叉链表
//typedef struct BitLink {
//	int data;
//	struct BitLink* leftChild; //左指针
//	struct BitLink* rightChild; //右指针
//}bitlink;
//用二叉链表存储方式建树
typedef struct BitTree {
	int data;
	struct BitTree* LChild; //左子树
	struct BitTree* RChild; //右子树
}bittree;
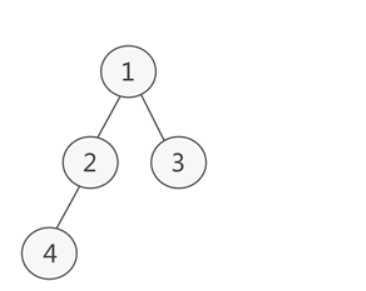
bittree* createBitTree(bittree* BT) {
	BT = (bittree*)malloc(sizeof(bittree));
	BT->data = 1;
	BT->LChild = (bittree*)malloc(sizeof(bittree));
	BT->RChild = (bittree*)malloc(sizeof(bittree));
	BT->LChild->data = 2;
	BT->LChild->RChild = NULL;
	BT->RChild->data = 3;
	BT->RChild->LChild = NULL;
	BT->RChild->RChild = NULL;
	BT->LChild->LChild = (bittree*)malloc(sizeof(bittree));
	BT->LChild->LChild->data = 4;
	BT->LChild->LChild->LChild= NULL;
	BT->LChild->LChild->RChild = NULL;
	return BT;
}
void main() {
	bittree* myBT = NULL;
	myBT = createBitTree(myBT);
	printf("树的根节点是:%d\n", myBT->data);
	printf("树的叶子节点是:%d,%d\n", myBT->LChild->LChild->data, myBT->RChild->data);
}

使用递归的方式建立:
#include<stdio.h>
#include<stdlib.h>
//用二叉链表存储方式建树(完全二叉树)
typedef struct BitTree {
	int data;
	struct BitTree* LChild; //左子树
	struct BitTree* RChild; //右子树
}bittree;
//创建二叉树
bittree* createBitTree(bittree* BT) {
	int num = 0;
	scanf("%d", &num);
	if (num != -1) {  //输入-1代表结束
		BT = (bittree*)malloc(sizeof(bittree));
		BT->data = num;
		printf("输入%d的左结点值:", BT->data);
		BT->LChild=createBitTree(BT->LChild);
		printf("输入%d的右结点值:", BT->data);
		BT->RChild=createBitTree(BT->RChild);
		return BT;
	}
}
void main() {
	bittree* myBT = NULL;
	myBT=createBitTree(myBT);
	printf("树的根结点是:%d\n", myBT->data);
	printf("树的根结点的左结点是:%d\n", myBT->LChild->data);
	printf("树的根结点的右结点是:%d\n", myBT->RChild->data);
}

原文:https://www.cnblogs.com/shanlu0000/p/12699672.html