首页 > 其他 > 详细

Machine Learning in Action -- 回归

时间:2014-09-05 17:45:41      阅读:284      评论:0      收藏:0      [点我收藏+]

机器学习问题分为分类和回归问题
回归问题,就是预测连续型数值,而不像分类问题,是预测离散的类别

至于这类问题为何称为回归regression,应该就是约定俗成,你也解释不通
比如为何logistic regression叫逻辑回归,明明解决的是分类问题,而且和逻辑没有半点关系

谈到回归,最简单的就是线性回归
用直线去拟合数据点,bubuko.com,布布扣

bubuko.com,布布扣

我们通常用平方误差来作为目标函数,称为最小二乘(ordinary least squares),参考AndrewNG的讲义

bubuko.com,布布扣

如何解这个问题,可以用梯度下降,但其实更简单的是,这个问题是有解析解的,可以直接求出

目标函数可以表示为,

bubuko.com,布布扣
对w求导,得到

bubuko.com,布布扣

让导数=0,即可求出w

bubuko.com,布布扣

源码,

from numpy import *
def standRegres(xArr,yArr):
    xMat = mat(xArr); yMat = mat(yArr).T
    xTx = xMat.T*xMat
    if linalg.det(xTx) == 0.0: #判断行列式是否为0,为0是奇异矩阵,求不出逆
        print "This matrix is singular, cannot do inverse"
        return
    ws = xTx.I * (xMat.T*yMat)
    return ws

对于线性回归,是典型的高bias,低variance的模型,因为它可以说是最简单的模型
所以会出现欠拟合(underfit)的问题

 

Locally weighted linear regression

线性回归是最小均方差的无偏估计,局部加权也可以看成在估计中引入一些偏差,以降低预测的均方差

其实局部加权,是对训练集的一个选择(选择部分样本,所以产生偏差),选择离当前预测点比较近的那部分训练样本来进行线性回归,具体算法参考AndrewNG的讲义

如何选择,通过给每个训练样本加上一个权值w

bubuko.com,布布扣

基本思路是,离预测点越近则权值越大,抽象表示就是高斯核
bubuko.com,布布扣

其中k代表,选取训练样本的范围

bubuko.com,布布扣

源码,

def lwlr(testPoint,xArr,yArr,k=1.0):
    xMat = mat(xArr); yMat = mat(yArr).T
    m = shape(xMat)[0]
    weights = mat(eye((m))) #weight初始化为单位矩阵
    for j in range(m):
        diffMat = testPoint - xMat[j,:] #预测x和每个样本的差值
        weights[j,j] = exp(diffMat*diffMat.T/(-2.0*k**2)) #计算每个样本的权值
    xTx = xMat.T * (weights * xMat)
    if linalg.det(xTx) == 0.0:
        print "This matrix is singular, cannot do inverse"
        return
    ws = xTx.I * (xMat.T * (weights * yMat))
    return testPoint * ws

和线性回归的差别就是多了权值的计算,注意这里权值矩阵是对角矩阵,对角线上表示每个样本的权值,其他都为0

当然局部加权可以解决欠拟合问题,拟合程度取决于k的取值

bubuko.com,布布扣

可见如果k选的过小,也会导致过拟合问题

当然这个算法的问题是,它是non-parametric algorithm,在预测的时候,需要保留完整的训练集,并每次预测都需要遍历整个训练集

 

Ridge regression

前面说的局部加权通过选择部分训练样本,来加入偏差,从而解决欠拟合的问题

下面要看看另外一类问题,

求解线性回归的时候,需要求解bubuko.com,布布扣
但有些时候,X协方差矩阵是求不出逆的,这个问题我们在因子分解里面也看到过

比如当样本数小于特征数时,或X非满秩,即某些样本是线性相关的,比如x1 = 2*x2

对于这种问题,直接求解会有问题,解决办法就是shringking特征,即选取部分特征,加入偏差

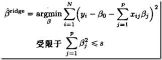
其中一种方法,叫做岭回归,
ridge regression中的目标函数为,加入了罚项

bubuko.com,布布扣

其中两部分,第一部分其实就是把线性回归中的y-xTw展开了,等价的
多的就是第二部分,可见如果要整个式子最小,那么如果单纯看第二部分,那么它为0是最优的
即所有参数多为0,这就是加入罚项,会趋于让某些不重要的特征的参数接近0,从而达到减少特征的目的
其中lamda是复杂度从那时,lamda越大,shringking越厉害,即参数越趋向于0

也可以表示为,意思是一样的,限制参数

bubuko.com,布布扣

岭回归的解析解为,

bubuko.com,布布扣

源码,

def ridgeRegres(xMat,yMat,lam=0.2):
    xTx = xMat.T*xMat
    denom = xTx + eye(shape(xMat)[1])*lam #加入罚项
    if linalg.det(denom) == 0.0:
        print "This matrix is singular, cannot do inverse"
        return
    ws = denom.I * (xMat.T*yMat)
    return ws

注意任意要做特征shrinking的算法,包括PCA,因子分析。。。首先都要对所有特征做normalization,否则无法评判各个特征

所以给出如何使用ridge regression的代码,看看如何做normalization

def ridgeTest(xArr,yArr):
    xMat = mat(xArr); yMat=mat(yArr).T
    yMean = mean(yMat,0)
    yMat = yMat - yMean
    xMeans = mean(xMat,0)
    xVar = var(xMat,0)
    xMat = (xMat - xMeans)/xVar #各个特征的scale不一样,所以要除以方差
    numTestPts = 30
    wMat = zeros((numTestPts,shape(xMat)[1]))
    for i in range(numTestPts):
        ws = ridgeRegres(xMat,yMat,exp(i-10))
        wMat[i,:]=ws.T
    return wMat

这里尝试30个不同的lamda,这里lamda以指数级别变化,可以看看极大和极小的lamda对结果的影响

bubuko.com,布布扣

可以看到当lamda很小时,最左边,特征参数没有任何shrinking,和线性回归得到的值基本相同
而lamda很大时,最右边,特征参数会全部shrinking成0

所以要通过交叉验证来找到中间那个比较合适的lamda值

 

lasso

和ridge regression很像
只是从ridge regression的L2罚项bubuko.com,布布扣 ,替换成L1罚项bubuko.com,布布扣
其中L1,和L2分别表示绝对值和平方,不要纠结

所以lasso可以表示为,

bubuko.com,布布扣

你可能会问,这个有毛区别,从平方变成绝对值?

答案是,lasso当t足够小的时候,更容易让某些特征参数直接=0,而不仅仅接近0,这样shrinking的效果更好

但是平方约束,是凸的,而换成绝对值,非凸约束,所以计算的时候会很麻烦(个人理解)
所以lasso很难求解

所以介绍一个近似方法

Forward stagewise regression

贪心算法,每次比较小的修正一个参数,然后如果可以减小误差,则保留,不停迭代找到最优的参数

def stageWise(xArr,yArr,eps=0.01,numIt=100):
    xMat = mat(xArr); yMat=mat(yArr).T
    yMean = mean(yMat,0)
    yMat = yMat - yMean
    xMat = regularize(xMat)
    m,n=shape(xMat)
    ws = zeros((n,1)); wsTest = ws.copy(); wsMax = ws.copy() #权值初始化为0
    for i in range(numIt):  #迭代次数
        print ws.T
        lowestError = inf;  #最小误差初始化为无穷
        for j in range(n):  #对于每个特征
            for sign in [-1,1]: #增加或减少权值
                wsTest = ws.copy()
                wsTest[j] += eps*sign #改变权值
                yTest = xMat*wsTest  #计算预测值
                rssE = rssError(yMat.A,yTest.A)  #计算预测平方误差,
                if rssE < lowestError:
                    lowestError = rssE
                    wsMax = wsTest
        ws = wsMax.copy()
        returnMat[i,:]=ws.T
    return returnMat

通过设置不同的eps值,即步长,来找到更合适的eps值

这个方法在足够次的迭代后,可以得到和lasso接近的结果

bubuko.com,布布扣

使用这个方法还有个很大的好处,是可以帮助理解当前的模型,可以简单的找到那些不重要的特征
bubuko.com,布布扣

可以看到这迭代过程中,第二个和第七个特征的参数一直是0,说明这两个特征对误差没有贡献

Machine Learning in Action -- 回归

原文:http://www.cnblogs.com/fxjwind/p/3958386.html

(0)
(0)
   
举报
评论 一句话评论(0
关于我们 - 联系我们 - 留言反馈 - 联系我们:wmxa8@hotmail.com
© 2014 bubuko.com 版权所有
打开技术之扣,分享程序人生!