1.本节重点知识点用自己的话总结出来,可以配上图片,以及说明该知识点的重要性
对于线性回归问题,我们的X和y是已知的,我们要解决的问题是,求取最合适的一个向量w,使得线性方程组能够尽可能的满足样本点的线性分布。之后我们就可以利用求得的w,对新的数据点进行预测。
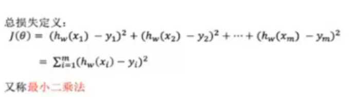
其中真实值与预测值之间肯定是存在一些误差的,我们定义为损失:

可以用梯度下降法减少损失:
2.思考线性回归算法可以用来做什么?(大家尽量不要写重复)
对于小店老说,可以将季度中的进货数据与营业额建立线性回归方程,观察每个产品的特征值,正数越大就多进此类产品,负值越小就少进。
3.自主编写线性回归算法 ,数据可以自己造,或者从网上获取。(加分题)
原文:https://www.cnblogs.com/ccla/p/12744984.html