图由顶点(vertex)和边(edge)组成,通常表示为G=(V,E)
G表示一个图,V是顶点集,E是边集1顶点集V有穷且非空
任意两个顶点之间都可以用边来表示它们之间的关系,边集E可以是空的

广度优先搜索的过程是一层一层的遍历,在选定起始点以后,第一次找到与起始点距离为一的点,然后在找到除起始点以外与第一次获取的点距离为一的点,不断递归直到完全遍历。二叉树的层序遍历就是一种广度优先搜索。
举几个例子:


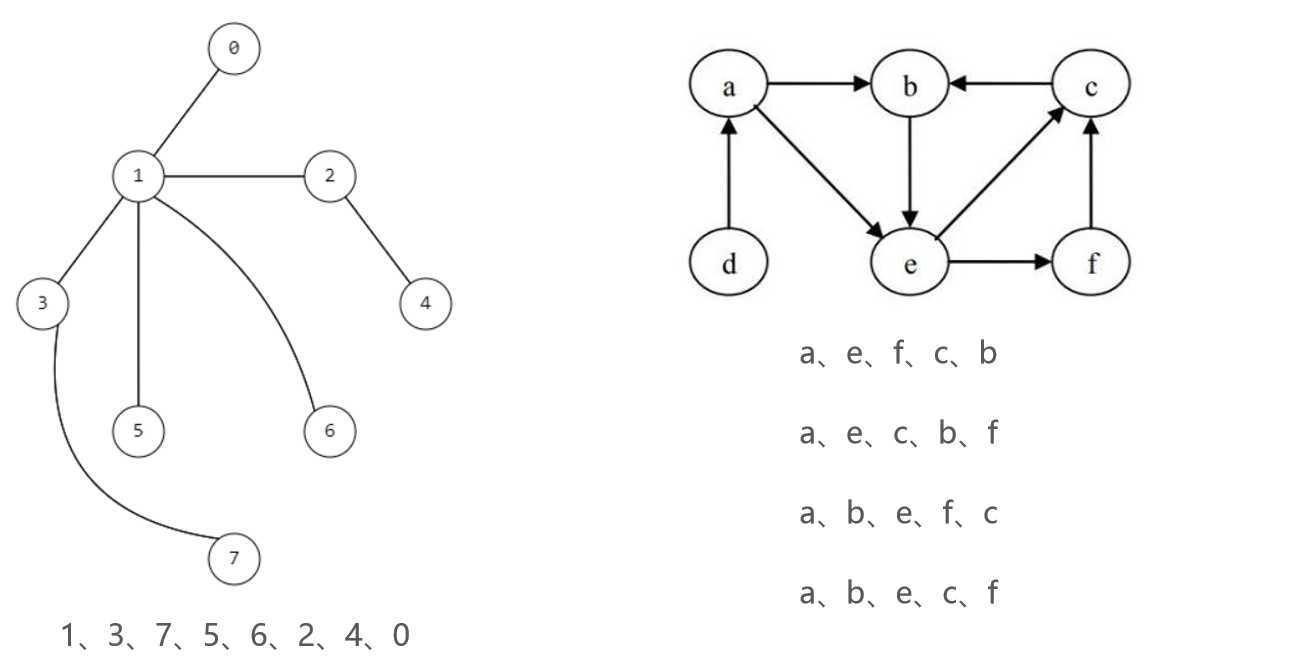
在实现BFS的过程中使用的是队列(Queue,FIFO)。大致流程是先将顶点放入队列之中,然后找到与顶点相距为一的点加入队列,然后将顶点取出队列,把顶点标记为已访问。再接着重复这个流程直到队列为空。例如对于第一个图,流程如下:

代码:
public void bfs(V begin, VertexVisitor<V> visitor) { if (visitor == null) return; Vertex<V, E> beginVertex = vertices.get(begin); if (beginVertex == null) return; Set<Vertex<V, E>> visitedVertices = new HashSet<>(); Queue<Vertex<V, E>> queue = new LinkedList<>(); queue.offer(beginVertex); visitedVertices.add(beginVertex); while (!queue.isEmpty()) { Vertex<V, E> vertex = queue.poll(); if (visitor.visit(vertex.value)) return; for (Edge<V, E> edge : vertex.outEdges) { if (visitedVertices.contains(edge.to)) continue; queue.offer(edge.to); visitedVertices.add(edge.to); } } }
深度优先搜索是从顶点开始,先不断向最左边的顶点一直查询到尽头,在返回顶点接着查询。二叉树的前序遍历就是深度优先搜索的一种。
举例:


实现的方法是递归和栈。
使用递归:
private void dfs(Vertex<V,E> vertex, Set<Vertex<V,E>> visitedVertices){ System. out. printin(vertex. value); visitedVertices. add(vertex); for (Edge<V,E> edge: vertex. outEdges){ if (visitedVertices. contains(edge. to)) continue; dfs(edge. to, visitedVertices); }
使用栈:
public void dfs(V begin, VertexVisitor<V> visitor) { if (visitor == null) return; Vertex<V, E> beginVertex = vertices.get(begin); if (beginVertex == null) return; Set<Vertex<V, E>> visitedVertices = new HashSet<>(); Stack<Vertex<V, E>> stack = new Stack<>(); // 先访问起点 stack.push(beginVertex); visitedVertices.add(beginVertex); if (visitor.visit(begin)) return; while (!stack.isEmpty()) { Vertex<V, E> vertex = stack.pop(); for (Edge<V, E> edge : vertex.outEdges) { if (visitedVertices.contains(edge.to)) continue; stack.push(edge.from); stack.push(edge.to); visitedVertices.add(edge.to); if (visitor.visit(edge.to.value)) return; break; } } }
原文:https://www.cnblogs.com/xiuzhublog/p/12747100.html