1.逻辑回归是怎么防止过拟合的?为什么正则化可以防止过拟合?(大家用自己的话介绍下)
防止过拟合方法:
(1)增加样本量
(2)正则化方法
(3)进行特征选择,减少特征数,保留重要特征
(4)特征离散化处理
正则化防止过拟合原因:

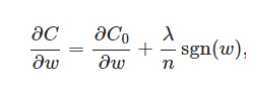
求导:

sgn(w)表示w的符号:

规定sgn(0)=0,当w为正时,更新后的w变小。当w为负时,更新后的w变大——因此它的效果就是让w往0靠,使网络中的权重尽可能为0,也就相当于减小了网络复杂度,防止过拟合。
2.用logiftic回归来进行实践操作,数据不限。
原文:https://www.cnblogs.com/momo-er/p/12786130.html