首页 > 其他 > 详细

多元线性回归怎么做参数估计?应该很简单

时间:2020-04-29 00:32:18      阅读:98      评论:0      收藏:0      [点我收藏+]

https://www.cnblogs.com/qiernonstop/p/3720490.html

SPSS--回归-多元线性回归模型案例解析

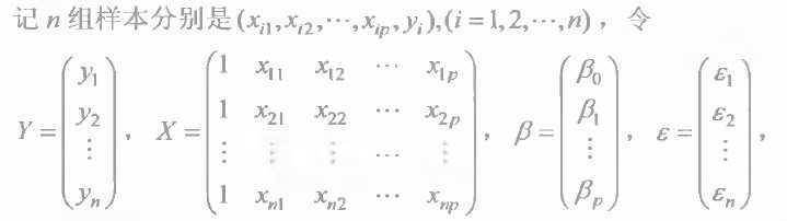
跟一元线性回归方程类似技术分享图片,只不过是矩阵形式技术分享图片

 

 

技术分享图片

案例:汽车特征跟汽车销售量的关系

 

 

 

资源:优酷  陈老师SPSS 

 

多元线性回归怎么做参数估计?应该很简单

原文:https://www.cnblogs.com/lovescience/p/12798209.html

(0)
(0)
   
举报
评论 一句话评论(0
关于我们 - 联系我们 - 留言反馈 - 联系我们:wmxa8@hotmail.com
© 2014 bubuko.com 版权所有
打开技术之扣,分享程序人生!