将多个放大电路前后连接起来,即可得到一个放大倍数更大的级联放大电路,理论上来讲,级联电路的总放大倍数相当于所有单个放大电路放大倍数的乘积。但是实际上,由于负载效应等原因,实际的电路总放大倍数比理论值要小一些,本小节我们将详细讲述级联系统(cascaded system)的分析方法。
如果将每个基本的放大电路看作一个双端口网络,级联系统的原理框图如下图所示:

图4-09.01
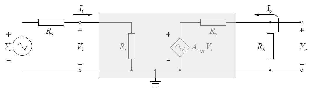
以放大电路Av1和Av2级联为例:前一级放大电路的输出Vo1,等于后一级放大电路的输入Vi2;前一级放大电路的输出阻抗Zo1,对后一级放大电路来说,相当于输入信号源的内阻,所以进入后一级放大电路的真正信号电压,会被前级的输出阻抗Zo1和后级的输入阻抗Zi2分一次压,而使得进入后级放大电路的真正信号电压,会比前级空载时的输出电压要小。这个就是所谓的负载效应。
对一个典型的放大电路来说,当未接负载(即空载)时,其电压放大倍数为最大,我们记为:AvNL,NL的含义是空载(No Load)。我们前面4-5~4-8小节计算的电压放大倍数Av都是空载时的放大倍数。在实际工作电路中,输入信号电压必然会有信号源内阻,输出的电压必然会接负载(即便你只用个万用表测量输出电压,万用表也相当于一个负载,只不过负载是兆欧级的而已),如下图所示:

图4-09.02
设放大器空载时的电压放大倍数为AvNL,接入非理想信号源和负载后,实际的电压放大倍数Av会减小,计算方法如下:


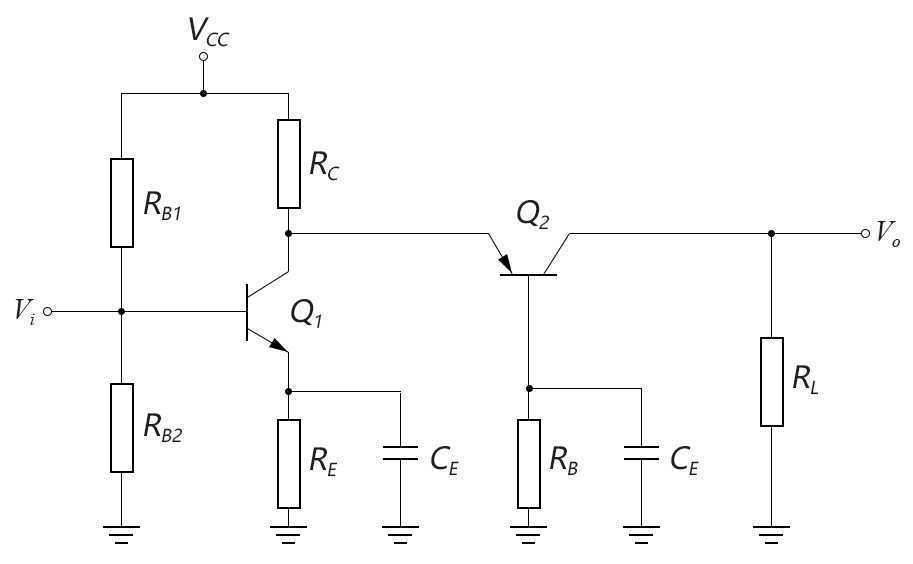
案例4-9-1:对于下图的级联系统,试求:(1)每一级的实际含负载电压增益;(2)系统实际总电压增益AvT;(3)去除射极跟随器后的系统总增益。

图4-09.a1
解:(1)第1级的实际含负载电压增益Av1为:

第2级的含负载实际电压增益Av2为:

(2)总电压增益AvT为各级的含负载电压增益的乘积,再乘以非理想信号源影响:

(3)去除射极跟随器后的总增益为Av为:

跟上面的结果比较,可见射极跟随器对阻抗匹配带来的巨大改善。
共射放大电路的性能一般比较平均,在实际中,常可见到两个级联的共射放大电路的级联电路,我们通过下面的案例来说明级联的共射放大电路的计算方法:
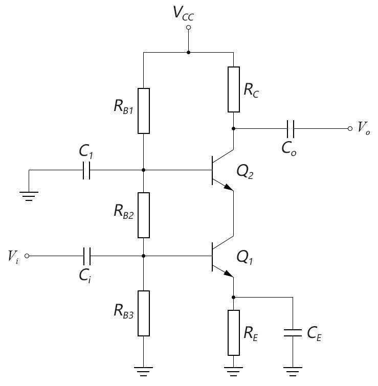
案例4-9-2:对于下图的共射-共射级联放大电路,试求:(1)每一级的静态工作点;(2)每一级的输入阻抗Zi、输出阻抗Zo、空载电压放大倍数AvNL;(3)每一级的含负载实际电压增益;(4)系统实际总增益AvT。

图4-09.a2
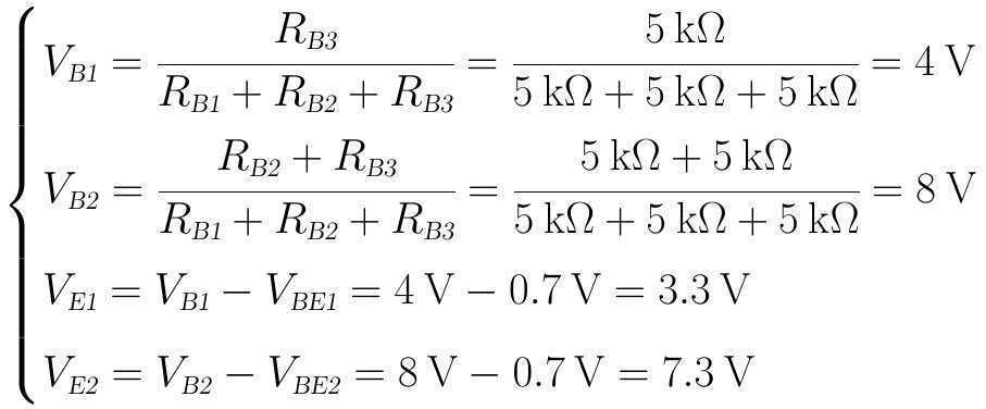
解:(1)第一级的各个直流参量计算如下:

然后验证BJT晶体管是否工作于放大区:

VCE1>VCEsat(共射CE饱和电压一般为0.3V左右),故Q1和Q2确实工作于放大区。
第二级的各个电阻参数和第一级完全相同,且由于直流部分被耦合电容CC完全隔开,故第二级的各个直流参量完全同第一级:

(2)第一级的各个小信号交流参量为:

第二级的各个电阻参数和第一级完全相同,故第二级的各个小信号交流参量为:

(3)由于条件中未给出信号电压源内阻,故可视为理想信号源;第一级的负载即为第二级的输入阻抗,因此第一级的含负载实际电压增益为:

同理,条件中未给出第二级的负载大小,故可视负载阻抗为无穷大的理想负载,因此第二级的含负载实际电压增益为:

(4)系统总增益AvT为:

可见,级联后的电压放大倍数比单个放大器大大增加。
共射放大电路的输入阻抗较高,一般可作为级联系统的第一级,而共基放大电路的主要作用是提供更好的高频性能,关于共基电路的频率响应我们在后面的频率响应章节细讲。这里我们仅仅需要掌握级联放大电路的计算方法就可以了。
下图是一个概念比较清楚的共射-共基级联结构:

图4-09.03
不过实际中常常会将一些电路稍作变形,这个你要能看得出来:

图4-09.04
上图中,靠下的Q1为第一级共射放大,上面的Q2为第二级的共基放大。这样做的好处是不需要像前面的概念电路那样配npn与pnp两种不同类型的BJT晶体管,这里只要同一种类型的npn晶体管就可以了。在实际应用中,可以降低生产成本。下面我们通过一个案例来说明共射-共基级联放大电路的计算方法。
案例4-9-3:对于下图的共射-共基级联放大电路,试求:(1)电路的静态工作点;(2)每一级的输入阻抗Zi、输出阻抗Zo、空载电压放大倍数AvNL;(3)系统实际总电压增益AvT。

图4-09.a3
解:(1)各个直流参量计算如下:


然后验证2个BJT是否都工作于放大区:

VCE1>VCEsat1(共射CE饱和电压一般为0.3V左右),故Q1确实工作于放大区。

VCE2>VCEsat2(共基CE饱和电压一般为0V),故Q2确实工作于放大区。
(2)先计算re:

第一级共射电路的输入阻抗Zi1为:

第一级的输出阻抗Zo1按照公式应为:

第一级共射电路不存在显式的RC1,但在小信号交流等效电路中,Q1的集电极接的是Q2的re2然后re2在另一端接交流地,因此Q2的re2就相当于第一级的集电极电阻RC1:

第一级的空载电压放大倍数AvNL1为:

第二级共基电路的输入阻抗Zi2为:

第二级的输出阻抗Zo2(按我们先前对共基电路的分析)近似于无穷大:

第二级的空载电压放大倍数AvNL2为:

(3)由于条件中没有给出信号源内阻和负载阻值,故视为理想信号源(RS=0)和理想负载(RL=∞):
这里比较特殊的第一级和第二级之间的负载效应的分析,由于第一级共射电路的输出电阻由re2产生,第二级的共基电路的输入电阻也由re2产生,因此可视为所有的电压都吃在了re2上,第一级输出信号到第二级的输入并没有被分压,因此实际总电压放大倍数AvT为:

你可能会感到有点疑惑,第一级共射放大电路的电压增益为1,有什么意义?其实,这个设计主要是为了降低第一级的密勒效应输入电容,使系统的高频响应性能更好。关于密勒效应电容,这个我们以后在频率响应章节再细讲。
欢迎关注本博公众号,可方便在手机端访问和索引本博技术文章:

( end of 4-9)
原文:https://www.cnblogs.com/initcircuit/p/12794083.html