深度学习中有众多有效的优化函数,比如应用最广泛的SGD,Adam等等,而它们有什么区别,各有什么特征呢?下面就来详细解读一下
所谓的梯度下降方法是无约束条件中最常用的方法。假设f(x)是具有一阶连续偏导的函数,现在的目标是要求取最小的f(x) : min f(x)
核心思想:负梯度方向是使函数值下降最快的方向,在迭代的每一步根据负梯度的方向更新x的值,从而求得最小的f(x)。因此我们的目标就转变为求取f(x)的梯度。
当f(x)是凸函数的时候,用梯度下降的方法取得的最小值是全局最优解,但是在计算的时候,需要在每一步(x_k处)计算梯度,它每更新一个参数都要遍历完整的训练集,不仅很慢,还会造成训练集太大无法加载到内存的问题,此外该方法还不支持在线更新模型。其代码表示如下:
for i in range(nb_epochs): params_grad = evaluate_gradient(loss_function, data, params) params = params - learning_rate * params_grad
我们首先需要针对每个参数计算在整个训练集样本上的梯度,再根据设置好的学习速率进行更新。
公式表示如下:
假设h(theta)是我们需要拟合的函数,n 表示参数的个数,m 表示训练集的大小。J(theta) 表示损失函数。


不难看出,在批量梯度下降法中,因为每次都遍历了完整的训练集,其能保证结果为全局最优,但是也因为我们需要对于每个参数求偏导,且在对每个参数求偏导的过程中还需要对训练集遍历一次,当训练集(m)很大时,这个计算量是惊人的!
所以,为了提高速度,减少计算量,提出了SGD随机梯度下降的方法,该方法每次随机选取一个样本进行梯度计算,大大降低了计算成本。
随机梯度下降算法和批量梯度下降的不同点在于其梯度是根据随机选取的训练集样本来决定的,其每次对theta的更新,都是针对单个样本数据,并没有遍历完整的参数。当样本数据很大时,可能到迭代完成,也只不过遍历了样本中的一小部分。因此,其速度较快,但是其每次的优化方向不一定是全局最优的,但最终的结果是在全局最优解的附近。
需要:学习速率 ?, 初始参数 θ
每步迭代过程:
1. 从训练集中的随机抽取一批容量为m的样本{x1,…,xm},以及相关的输出yi
2. 计算梯度和误差并更新参数
代码表示如下:(需要注意的是,在每次迭代训练中,需要重新洗牌训练集)
for i in range(nb_epochs): np.random.shuffle(data) for example in data: params_grad = evaluate_gradient(loss_function, example, params) params = params - learning_rate * params_grad
虽然BGD可以让参数达到全局最低点并且停止,而SGD可能会让参数达到局部最优,但是仍然会波动,甚至在训练过程中让参数会朝一个更好的更有潜力的方向更新。但是众多的实验表明,当我们逐渐减少学习速率时,SGD和BGD会达到一样的全局最优点。
优点:
训练速度快,避免了批量梯度更新过程中的计算冗余问题,对于很大的数据集,也能够以较快的速度收敛.
缺点:
由于是抽取,因此不可避免的,得到的梯度肯定有误差.因此学习速率需要逐渐减小,否则模型无法收敛
因为误差,所以每一次迭代的梯度受抽样的影响比较大,也就是说梯度含有比较大的噪声,不能很好的反映真实梯度.并且SGD有较高的方差,其波动较大,如下图: 
学习速率该如何调整:
那么这样一来,?如何衰减就成了问题.如果要保证SGD收敛,应该满足如下两个要求:

而在实际操作中,一般是进行线性衰减:

其中?0是初始学习率, ?τ是最后一次迭代的学习率. τ自然代表迭代次数.一般来说,?τ 设为?0的1%比较合适.而τ一般设为让训练集中的每个数据都输入模型上百次比较合适.那么初始学习率?0怎么设置呢?书上说,你先用固定的学习速率迭代100次,找出效果最好的学习速率,然后?0设为比它大一点就可以了.
另外,需要注意的是因为存在样本选择的随机性,所以在梯度下降过程中会存在较大的噪声,因此学习速率应该要逐渐减小,来寻找一个相对全局最优的方向。
同时也考虑到每次只选择一个样本进行梯度更新存在较大的噪声,学者们开始尝试每次选择一小批样本进行梯度更新,在降低噪声的同时提高速度,因此就有了下面的MBGD小批量梯度下降法。
为了综合上述两种方法,提出了小批量梯度下降。它:
(1)降低在SGD中高方差的问题,能使得收敛更加稳定;
(2)可以利用深度学习中最先进的库进行矩阵优化的操作,加速操作;
(3)一般的小批量介于50~256,但是当适用很小的批量时,有时也统称为SGD。
核心思想:在每次迭代时考虑一小部分样本,比如考虑10个样本,同时计算在这10个样本点上的每个参数的偏导数,对于每个优化参数,将该参数在这10个样本点的偏导数求和。
代码表示:
for i in range(nb_epochs): np.random.shuffle(data) for batch in get_batches(data, batch_size=50): params_grad = evaluate_gradient(loss_function, batch, params) params = params - learning_rate * params_grad
但是,需要注意的是因为这里也存在样本选择的随机性,学习速率应该要逐渐减小,同时上述方法并不能保证好的收敛性。主要存在的挑战有:
基于上述问题,又有了如下更多的优化策略!
上述SGD和MBGD算法都存在样本选择的随机性,因此含有较多的噪声,而momentum能解决上述噪声问题,尤其在面对小而较多噪声的梯度时,它往往能加速学习速率。

核心思想:Momentum借用了物理中的动量概念,即前几次的梯度也会参与运算。为了表示动量,引入了一个新的变量v(velocity)。v是之前的梯度的累加,但是每回合都有一定的衰减。
每步迭代过程:
1. 从训练集中的随机抽取一批容量为m的样本{x1,…,xm},以及相关的输出yi
2. 计算梯度和误差,并更新速度v和参数θ:
? ←+1m∇θ∑iL(f(xi;θ),yi)
v←αv−??
θ←θ+v
其中参数α表示每回合速率v的衰减程度.同时也可以推断得到,如果每次迭代得到的梯度都是g,那么最后得到的v的稳定值为 ?∥g∥/1−α
也就是说,Momentum最好情况下能够将学习速率加速1/1−α倍.一般α的取值为0.9或者更小。当然,也可以让α的值随着时间而变化,一开始小点,后来再加大.不过这样一来,又会引进新的参数.
特点:
本质上来说,就和我们把球从山上退下来一样,球的速度会越来越快。和我们的参数更新一样,当方向一致时,动量项会增加;当方向不一致时,动量项会降低。
即:
前后梯度方向一致时,能够加速学习
前后梯度方向不一致时,能够抑制震荡
仅仅有一个追求速度的球往山下滚是不能令人满意的,我们需要一个球,它能知道往前一步的信息,并且当山坡再次变陡时他能够减速。因此,带有nesterov的出现了!
在momentum里,先计算当前的梯度(短蓝色线),然后结合以前的梯度执行更新(长蓝色线)。而在nesterov momentum里,先根据事先计算好的梯度更新(棕色),然后在预计的点处计算梯度(红色),结合两者形成真正的更新方向(绿色)。 
这是对之前的Momentum的一种改进,大概思路就是,先对参数进行估计(先往前看一步,探路),然后使用估计后的参数来计算误差
具体实现:
需要:学习速率 ?, 初始参数 θ, 初始速率v, 动量衰减参数α
每步迭代过程:
1. 从训练集中的随机抽取一批容量为m的样本{x1,…,xm},以及相关的输出yi
2. 计算梯度和误差,并更新速度v和参数θ:
? ←+1m∇θ∑iL(f(xi;θ+αv),yi)
v←αv−??
θ←θ+v
注意在估算? 的时候,参数变成了θ+αv而不是之前的θ
AdaGrad可以自动变更学习速率,只是需要设定一个全局的学习速率?,但是这并非是实际学习速率,实际的速率是与以往参数的模之和的开方成反比的.也许说起来有点绕口,不过用公式来表示就直白的多:

其中δ是一个很小的常亮,大概在10−7,防止出现除以0的情况.
核心思想:对于频繁出现的参数使用更小的更新速率,对于不频繁出现的参数使用更大的更新速率。
正因为如此,该优化函数脚适用于稀疏的数据,比如在Google从YouTube视频上识别猫时,该优化函数大大提升了SGD的鲁棒性。在训练GloVe词向量时该优化函数更加适用。
具体实现:
需要:全局学习速率 ?, 初始参数 θ, 数值稳定量δ
中间变量: 梯度累计量r(初始化为0)
每步迭代过程:
1. 从训练集中的随机抽取一批容量为m的样本{x1,…,xm},以及相关的输出yi
2. 计算梯度和误差,更新r,再根据r和梯度计算参数更新量
在SGD中,我们对所有参数进行同时更新,这些参数都使用同样的学习速率。
比图用gt,i表示在t时间点,对i参数求得的偏导。 
那么在SGD中就会用同一个学习速率对i参数进行更新:

但是在adagrad里,会综合考虑i之前的所有梯度值来更新学习速率,其中Gt,ii是一个对角矩阵,i行i列存储了目前时间点为止的所有i参数的偏导的平方和。后面的项是一个很小的值(1e−8),为了防止除0错误。
优点:
能够实现学习率的自动更改。如果这次梯度大,那么学习速率衰减的就快一些;如果这次梯度小,那么学习速率衰减的就慢一些。
缺点:
最大的缺点在于分母中那个G是偏导的累积,随着时间的推移,分母会不断的变大,最后会使得学习速率变的非常小,而此时会使得模型不再具备学习其他知识的能力。
经验表明,在普通算法中也许效果不错,但在深度学习中,深度过深时会造成训练提前结束。因为它到后面的衰减可能越来越慢,然后就提前结束了。为了解决提前结束的问题,引入了如下的算法:Adadelta!RMSprop!
Adadelta
adadelta是adagrad的延伸,不同于adadelta将以前所有的偏导都累加起来,adadelta控制了累加的范围到一定的窗口中。
但是,并非简单的将窗口大小设置并且存储,我们是通过下式动态改变的上述的G:

这里面的gamma类似于momentum里面的项(通常取值0.9),用来控制更新的权重。
因此以前的:

将被改变为:

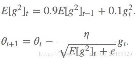
RMSProp通过引入一个衰减系数,让r每回合都衰减一定比例,类似于Momentum中的做法。(我觉得和Adadelta没啥区别)
具体实现:
需要:全局学习速率 ?, 初始参数 θ, 数值稳定量δ,衰减速率ρ
中间变量: 梯度累计量r(初始化为0)
每步迭代过程:
1. 从训练集中的随机抽取一批容量为m的样本{x1,…,xm},以及相关的输出yi
2. 计算梯度和误差,更新r,再根据r和梯度计算参数更新量
算法的提出者建议如上式所示,gamma取0.9,学习速率为0.001
优点:
相比于AdaGrad,这种方法很好的解决了深度学习中过早结束的问题
适合处理非平稳目标,对于RNN效果很好
缺点:
又引入了新的超参,衰减系数ρ
依然依赖于全局学习速率
Adam(Adaptive Moment Estimation)是另外一种给每个参数计算不同更新速率的方法,其本质上是带有动量项的RMSprop,它利用梯度的一阶矩估计和二阶矩估计动态调整每个参数的学习率。Adam的优点主要在于经过偏置校正后,每一次迭代学习率都有个确定范围,使得参数比较平稳。它和上述的adadelta和RMSprop一样,都存储了以前的偏导平方衰减平均值,此外,它还存储以前的偏导衰减平均值。
具体实现:
需要:步进值 ?, 初始参数 θ, 数值稳定量δ,一阶动量衰减系数ρ1, 二阶动量衰减系数ρ2
其中几个取值一般为:δ=10−8,ρ1=0.9,ρ2=0.999
中间变量:一阶动量s,二阶动量r,都初始化为0
每步迭代过程:
1. 从训练集中的随机抽取一批容量为m的样本{x1,…,xm},以及相关的输出yi
2. 计算梯度和误差,更新r和s,再根据r和s以及梯度计算参数更新量
其中的Mt和Vt分别表示平均值角度和非中心方差角度的偏导。

才方法的作者建议 β1取0.9, β2取0.999 ,?取10-8。并且声称Adam在实践中比其他的自适应算法有更好的表现。
让我们来可视化的看看它们的表现:
比较一下速度:
比较一下在鞍点的性能:
原文:https://www.cnblogs.com/ziytong/p/12820905.html