题目地址:https://leetcode-cn.com/problems/nge-tou-zi-de-dian-shu-lcof/
把n个骰子扔在地上,所有骰子朝上一面的点数之和为s。输入n,打印出s的所有可能的值出现的概率。你需要用一个浮点数数组返回答案,其中第 i 个元素代表这 n 个骰子所能掷出的点数集合中第 i 小的那个的概率。
示例 1:
输入: 1
输出: [0.16667,0.16667,0.16667,0.16667,0.16667,0.16667]
示例 2:
输入: 2
输出: [0.02778,0.05556,0.08333,0.11111,0.13889,0.16667,0.13889,0.1
投掷n个骰子,所有点数出现的总次数是 6^n ,因为一共有n枚骰子,每枚骰子的点数都有6种可能出现的情况。
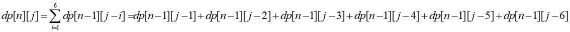
动态规划:我们用二维数组dp[i][j]表示投掷完i枚骰子后,点数j出现的次数(这里的点数指的是前n枚骰子的点数和,而不是第n枚骰子的点数),初始条件为dp[1][1]=dp[1][2]=dp[1][3]=dp[1][4]=dp[1][5]=dp[1][6]=1;状态转移方程为

其中,n表示阶段,即投掷完了多少枚骰子,j表示投掷完n枚骰子后,可能出现的点数和,i表示第n枚骰子会出现的六个点数。
动态规划的空间优化:因为每个阶段的状态都只和它前一阶段的状态有关,因此我们不需要用额外的一维来保存所有阶段。我们可以用一维数组来保存一个阶段的状态,然后对下一个阶段可能出现的点数j从大到小遍历,实现一个阶段到下一阶段的转换。
动态规划
class Solution { public: vector<double> twoSum(int n) { vector<vector<int>> dp(n + 1, vector<int>(6 * n + 1, 0)); //初始化 for(int i = 1; i <= 6; i++) { dp[1][i] = 1; } //计算dp for(int i = 2; i <= n; i++) //从2到n计算dp { for(int j = i; j <= 6 * i; j++) //当n=i时的点数和 { for(int k = 1; k <= 6; k++) //状态转移方程计算 { dp[i][j] += dp[i - 1][j - k]; if(j - k <= 0) break; //若第i个骰子的点数比第i-1个的点数小,错误处理 } } } int all_counts = pow(6, n); vector<double> res; //计算投掷完n枚骰子后,点数j出现的次数与总的次数的比值,即(所有骰子出现的次数/总的次数) for(int j = n; j <= 6 * n; j++) { res.push_back(dp[n][jj * 1.0 / all_counts); } return res; } };
动态规划—空间优化
class Solution { public: vector<double> twoSum(int n) { vector<int> dp(6 * n + 1, 0); //初始化 for(int i = 1; i <= 6; i++) { dp[i] = 1; } //计算dp for(int i = 2; i <= n; i++) //从2到n计算dp { for(int j = 6 * i; j >= i; j--) //当n=i时的点数和 { dp[j] = 0; for(int k = 1; k <= 6; k++) //状态转移方程计算 { dp[j] += dp[j - k]; if(j - k <= i - 1) break; //若第i个骰子的点数比第i-1个的点数小,错误处理 } } } int all_counts = pow(6, n); vector<double> res; //计算投掷完n枚骰子后,点数j出现的次数与总的次数的比值,即(所有骰子出现的次数/总的次数) for(int j = n; j <= 6 * n; j++) { res.push_back(dp[j] * 1.0 / all_counts); } return res; } };
参考文章
动态规划初级试炼场:https://mp.weixin.qq.com/s/Ef73zZv6wiaXwiJRnCLpoQ
原文:https://www.cnblogs.com/wzw0625/p/12826111.html