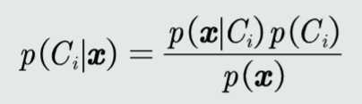
后验概率 p(Ci|x) 表达给定模式 x 属于类 Ci 的概率。
模式 x 属于类 Ci 的后验概率计算公式为:

MAP分类器:将测试样本决策分类给后验概率最大的那个类。
判别公式:

对于二分类问题,MAP分类器的决策边界:
单维空间:通常有两条决策边界。
高维空间:复杂的非线性边界。
决策误差:

决策风险的概念:不同的决策错误会产生程度不同的风险。
损失:

决策风险的评估:

贝叶斯分类器:
选择决策风险最小的类。
判别公式:

决策损失:

简化特征维度:

原文:https://www.cnblogs.com/1e9add7/p/12827330.html