首页 > 其他 > 详细

二叉树的性质

时间:2020-05-09 16:53:22      阅读:48      评论:0      收藏:0      [点我收藏+]

1.高度为h的满二叉树,含有的结点数是 2h - 1 。

2.二叉树中度数与结点数的关系:度数 + 1 = 结点数

N0   =  N 2  + 1 

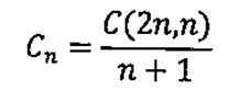
3.N个结点的二叉树有多少种形态

 

 

 技术分享图片

 

二叉树的性质

原文:https://www.cnblogs.com/juanzhi/p/12858571.html

(0)
(0)
   
举报
评论 一句话评论(0
关于我们 - 联系我们 - 留言反馈 - 联系我们:wmxa8@hotmail.com
© 2014 bubuko.com 版权所有
打开技术之扣,分享程序人生!